文章目录
- 一、问题概述
- 1、线性模型
- 2、误差损失
- 3、似然函数
- 4、梯度下降
- 二、算法实现
- 三、应用实例
一、问题概述
- 线性:变量之间的关系是一次函数关系,例如直线、平面等。相反,若变量之间的关系不是一次函数关系,称之为非线性。
- 回归:通过有限的条件计算所得的往往是测量值,为了得到真实值,需要进行无限次测量,通过测试数据接近到真实值,这就是回归。
综上,线性回归问题 即通过一个线性模型(一次函数)尽可能准确地预测新样本的输出,通过已知数据预测未知结果。例如:房价预测、电影票房预估等。
1、线性模型
例如:现在有两个变量 x 1 、 x 2 x_1、x_2 x1、x2,假设结果为 h θ ( x ) h_{\theta}(x) hθ(x),则有 h θ ( x ) = θ 0 + θ 1 x 1 + θ 2 x 2 h_{\theta}(x) = \theta_0 + \theta_1 x_1 + \theta_2 x_2 hθ(x)=θ0+θ1x1+θ2x2。
其中 θ 0 \theta_0 θ0 称为偏置项, θ 1 、 θ 2 \theta_1、\theta_2 θ1、θ2称为权重。
若有 n n n个变量,令偏置项 θ 0 \theta_0 θ0 的变量值 x 0 = 1 x_0 = 1 x0=1,则预测值为 h θ ( x ) = ∑ i = 0 n θ i x i = θ T x h_{\theta}(x) = \sum_{i = 0}^{n} \theta_i x_i = \theta^T x hθ(x)=i=0∑nθixi=θTx。
其中 θ = [ θ 0 , θ 1 , θ 2 ] \theta = [\theta_0, \theta_1, \theta_2] θ=[θ0,θ1,θ2] 为一个行矩阵。
2、误差损失
假设一个线性模型:

可以看出预测值与真实值之间并不是完全对等的,因此引入误差 ε \varepsilon ε。
对于每个样本: y ( i ) = θ T x ( i ) + ε ( i ) y^{(i)} = \theta^T x^{(i)} + \varepsilon^{(i)} y(i)=θTx(i)+ε(i)。 ε ( i ) \varepsilon^{(i)} ε(i)称为误差项,不同样本的误差项也不一定相同。
误差 ε ( i ) \varepsilon^{(i)} ε(i) 符合独立同分布并且服从均值为 0 0 0、方差为 θ 2 \theta^2 θ2的高斯分布(正态分布)。
3、似然函数
由于误差服从高斯分布,则有:
p ( ε ( i ) ) = 1 2 π σ exp ( − ( ε ( i ) ) 2 2 σ 2 ) p(\varepsilon^{(i)}) = \frac{1}{\sqrt{2\pi\sigma}} \exp(-\frac{(\varepsilon^{(i)})^2}{2\sigma^2}) p(ε(i))=2πσ1exp(−2σ2(ε(i))2)
将 y ( i ) = θ T x ( i ) + ε ( i ) y^{(i)} = \theta^T x^{(i)} + \varepsilon^{(i)} y(i)=θTx(i)+ε(i) 代入得到:
p ( y ( i ) ∣ x ( i ) ; θ ) = 1 2 π σ exp ( − ( y ( i ) − θ T x ( i ) ) 2 2 σ 2 ) p(y^{(i)}|x^{(i)};\theta) = \frac{1}{\sqrt{2\pi\sigma}} \exp(-\frac{(y^{(i)} - \theta^T x^{(i)})^2}{2\sigma^2}) p(y(i)∣x(i);θ)=2πσ1exp(−2σ2(y(i)−θTx(i))2)
因此 似然函数 为:
L ( θ ) = ∏ i = 1 m p ( y ( i ) ∣ x ( i ) ; θ ) = ∏ i = 1 m 1 2 π σ exp ( − ( y ( i ) − θ T x ( i ) ) 2 2 σ 2 ) L(\theta) = \prod_{i = 1}^{m}p(y^{(i)}|x^{(i)};\theta) = \prod_{i = 1}^{m} \frac{1}{\sqrt{2\pi\sigma}} \exp(-\frac{(y^{(i)} - \theta^T x^{(i)})^2}{2\sigma^2}) L(θ)=i=1∏mp(y(i)∣x(i);θ)=i=1∏m2πσ1exp(−2σ2(y(i)−θTx(i))2)
转化为对数似然:
ln L ( θ ) = ∑ i = 1 m ln 1 2 π σ exp ( − ( y ( i ) − θ T x ( i ) ) 2 2 σ 2 ) = m ln 1 2 π σ − 1 σ 2 ⋅ 1 2 ∑ i = 1 m ( y ( i ) − θ T x ( i ) ) 2 \begin{aligned} \ln{L(\theta)} &= \sum_{i = 1}^{m} \ln{\frac{1}{\sqrt{2\pi\sigma}} \exp(-\frac{(y^{(i)} - \theta^T x^{(i)})^2}{2\sigma^2})}\\ &= m\ln{\frac{1}{\sqrt{2\pi\sigma}}} - \frac{1}{\sigma^2} \cdot \frac{1}{2}\sum_{i = 1}^{m} (y^{(i)} - \theta^T x^{(i)})^2 \end{aligned} lnL(θ)=i=1∑mln2πσ1exp(−2σ2(y(i)−θTx(i))2)=mln2πσ1−σ21⋅21i=1∑m(y(i)−θTx(i))2
令
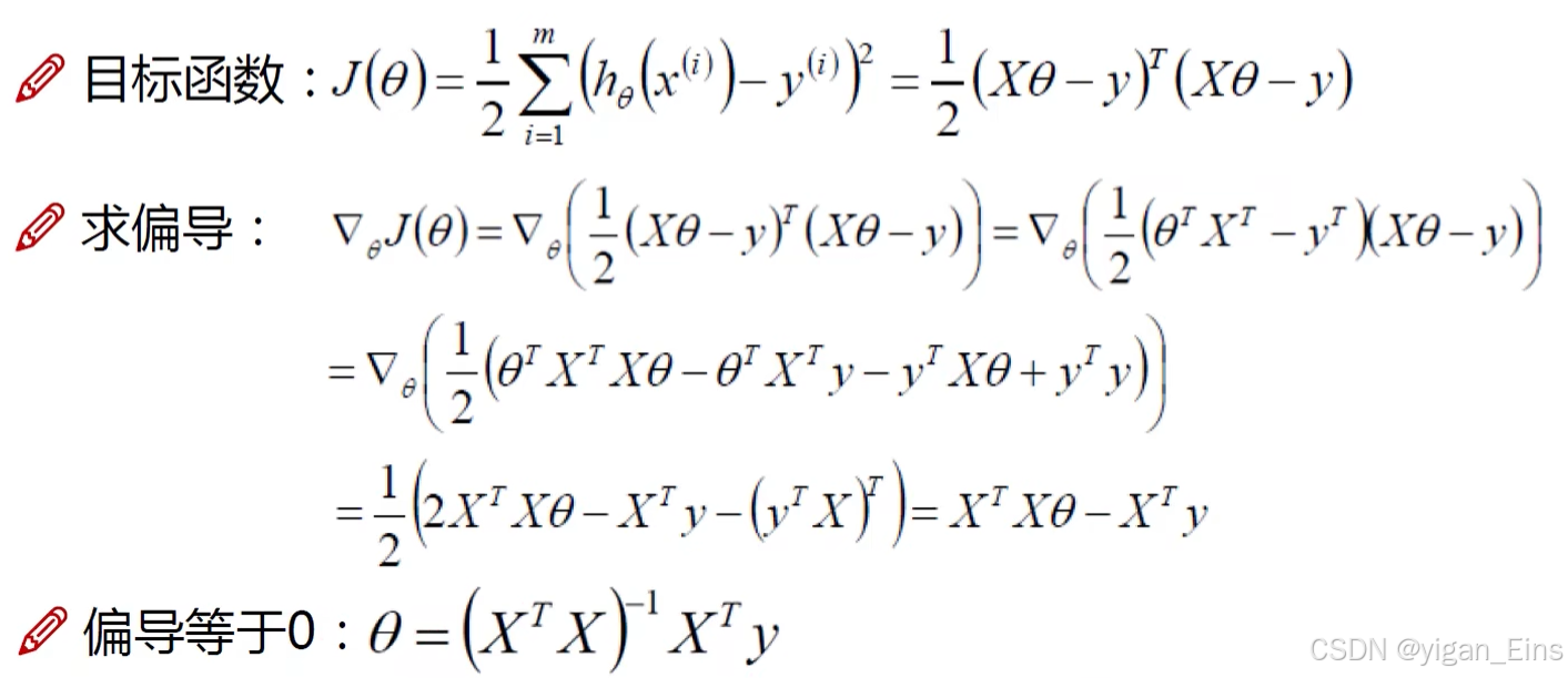
J ( θ ) = 1 2 ∑ i = 1 m ( y ( i ) − θ T x ( i ) ) 2 (最小二乘法) J(\theta) = \frac{1}{2}\sum_{i = 1}^{m} (y^{(i)} - \theta^T x^{(i)})^2(最小二乘法) J(θ)=21i=1∑m(y(i)−θTx(i))2(最小二乘法)
J ( θ ) J(\theta) J(θ)即损失函数 ,由于似然函数来源于高斯分布,则应使似然函数越大越好,即 J ( θ ) J(\theta) J(θ)越小越好。
怎么让 J ( θ ) J(\theta) J(θ)取得最小值呢?——求导:

注:这一部分不需要掌握,当时需要理解。
4、梯度下降
对于最小值的求解问题,我们可以将其近似看做一个小山,那么局部最小值就变成了下山问题:

由于 梯度(切线)方向总是下降的,因此我们每次沿着梯度方向前进一小步逼近局部最优解的过程,即称为 梯度下降。
那步长怎么取呢?
对于最优解的求解,我们的惯性思维自然是越快越好,即将步长设置成一个较大值,一般情况下可以很快的逼近局部最优解。但是,如果在一个逼近局部最优解的小区间,由于步长较大,求解过程可能在最优解附近反复横跳,将永远不会收敛,即永远取不到局部最优解。因此,我们的步长不应取得很大,也不宜取得很小,因此如果步长过小,逼近局部最优解得过程将会很慢,时间利用率不高。
由于权值及偏置项之间是独立的,因此我们分开求解:
对于一个 θ j \theta_j θj,我们关于 J ( θ ) J(\theta) J(θ)对其求偏导并取平均:
∂ J ( θ ) ∂ θ j = − 1 m ∑ i = 1 m ( y i − h θ ( x i ) ) x j i \frac{\partial J(\theta)}{\partial \theta_j} = -\frac{1}{m} \sum_{i = 1}^{m} (y^i - h_{\theta}(x^i)) x_j^i ∂θj∂J(θ)=−m1i=1∑m(yi−hθ(xi))xji
而梯度是下降的,因此我们取步长 1 m ∑ i = 1 m ( y i − h θ ( x i ) ) x j i \frac{1}{m} \sum_{i = 1}^{m} (y^i - h_{\theta}(x^i)) x_j^i m1∑i=1m(yi−hθ(xi))xji,则:
θ j ′ = θ j + 1 m ∑ i = 1 m ( y i − h θ ( x i ) ) x j i \theta^{\prime}_j = \theta_j + \frac{1}{m} \sum_{i = 1}^{m} (y^i - h_{\theta}(x^i)) x_j^i θj′=θj+m1i=1∑m(yi−hθ(xi))xji
这样虽然能比较容易地取得最优解,但是对于每个权重地每次更新,我们都考虑对所有样本进行计算,在权重数多或样本量大的情况下,梯度下降会非常缓慢。因此,我们考虑每次随机地选择一个样本进行更新: θ j ′ = θ j + 1 b a t c h ∑ i = 1 b a t c h ( y i − h θ ( x i ) ) x j i \theta^{\prime}_j = \theta_j + \frac{1}{batch} \sum_{i = 1}^{batch} (y^i - h_{\theta}(x^i)) x_j^i θj′=θj+batch1i=1∑batch(yi−hθ(xi))xji
这就是 随机梯度下降 。
但是新的问题随之而来,如果存在恶意样本,那么选择这个样本的时候可能会破坏原本的梯度下降,产生副作用。因此,我们考虑将全部样本集划分为小批量样本集,每次选择一个小批量数据集进行更新,即避免了样本量大导致的缓慢,又减少了恶意样本带来的破坏。
如果每次都这样进行更新,则样本量确定的情况下,步长也确定了,这似乎不太美妙,我们在训练的过程中更多的希望能自行控制步长,而不是完全依赖样本量,因此,我们在计算步长时引入 学习率 ,控制训练过程中的步长: θ j ′ = θ j + α ⋅ 1 b a t c h ∑ i = 1 b a t c h ( y i − h θ ( x i ) ) x j i \theta^{\prime}_j = \theta_j + \alpha \cdot \frac{1}{batch} \sum_{i = 1}^{batch} (y^i - h_{\theta}(x^i)) x_j^i θj′=θj+α⋅batch1i=1∑batch(yi−hθ(xi))xji
这就是 梯度下降更新参数 的方法。
二、算法实现
上一阶段我们已经了解线性模型,损失函数以及梯度下降的步骤,这一阶段将使用python实现线性回归算法。
首先我们需要一些对数据集进行预处理的方法,主要作用是对数据集进行标准化和归一化,ML_algorithm包已上传百度网盘
链接: https://pan.baidu.com/s/12CsQM8CILOrHnS0rQQOYYw?pwd=6666
提取码: 6666
1、 定义 LinearRegression 类,并在__init__函数中进行初始化, s e l f . t h e t a self.theta self.theta 即为参数矩阵,初始化为一个值为0的列向量。
2、 在 train 方法中对线性模型进行训练,执行梯度下降更新参数矩阵。
3、 在 gradient_descent 函数中进行迭代,在 gradient_step 中进行梯度计算,即使用上一阶段得到的梯度下降更新参数的方法 更新参数矩阵 。
4、 在 loss_function 中进行损失计算,即 利用 J ( θ ) J(\theta) J(θ) 计算损失 ,在计算中,由于我们使用矩阵进行计算,求得的是所有样本的损失和。因此,需要除以样本量,取平均值 。
🍁 线性回归算法完整代码:
import numpy as np
from ML_algorithm.utils.features.prepare_for_training import prepare_for_trainingclass LinearRegression:def __init__(self,data,labels,polynomial_degree = 0,sinusoid_degree = 0,normalize_data = True):"""1.对数据进行预处理2.先得到所有的特征个数3.初始化参数矩阵"""(data_processed,features_mean,features_deviation) = prepare_for_training(data,polynomial_degree,sinusoid_degree,normalize_data)self.data = data_processedself.labels = labelsself.features_mean = features_meanself.features_deviation = features_deviationself.polynomial_degree = polynomial_degreeself.sinusoid_degree = sinusoid_degreeself.normalize_data = normalize_datanum_features = self.data.shape[1] # 数据的特征个数self.theta = np.zeros((num_features,1)) # 初始化参数矩阵为一个初始值为0的num_features行1列的矩阵def train(self,alpha,num_iterations = 500):loss_list = self.gradient_descent(alpha,num_iterations)return self.theta,loss_listdef gradient_descent(self,alpha,num_iterations):"""梯度下降返回一个损失矩阵alpha : 学习率num_iterations : 迭代次数"""loss_history = []for _ in range(num_iterations):self.gradient_step(alpha)loss_history.append(self.loss_function(self.data,self.labels))return loss_historydef gradient_step(self,alpha):"""梯度下降参数更新计算方法,注意是矩阵运算"""num_examples = self.data.shape[0]prediction = LinearRegression.hypothesis(self.data,self.theta)delta = self.labels - predictiontheta = self.thetatheta = theta + alpha * (1 / num_examples) * (np.dot(delta.T,self.data)).T # 将循环累加转化为矩阵点乘,更新thetaself.theta = thetadef loss_function(self,data,labels):"""损失计算"""num_examples = data.shape[0]delta = labels - LinearRegression.hypothesis(self.data,self.theta)loss = (1 / 2) * np.dot(delta.T,delta) / num_examples # 取平均值return loss[0][0]@staticmethoddef hypothesis(data,theta):"""预测值计算"""predictions = np.dot(data,theta)return predictionsdef get_loss(self,data,labels):data_processed = prepare_for_training(data,self.polynomial_degree,self.sinusoid_degree,self.normalize_data)[0]return self.loss_function(data_processed,labels)def get_prediction(self,data):"""用训练的参数模型,预测得到回归值结果"""data_processed = prepare_for_training(data,self.polynomial_degree,self.sinusoid_degree,self.normalize_data)[0]predictions = LinearRegression.hypothesis(data_processed,self.theta)
三、应用实例
这一阶段,我们要将理论部分和实现的算法进行实战。
在ML_algorithm包中提供了数据集world-happiness-report-2017.csv,我们将利用这一数据集进行实战。
1、 首先,使用 read_csv 方法读取数据集,再用 .sample 方法对数据集进行切割,分成训练集和测试集。
2、 然后,对训练集和测试集进行分离,获得变量和结果对应的 向量。
绘制数据分布散点图:
3、 接着,导入 LinearRegression 类, 使用训练集对线性模型进行训练 。
绘制损失函数折线图:
4、 最后,对线性模型进行测试。
线性方程折线图:
可以看出:得到的线性模型能够较准确地吻合数据分布。
🍁 实战完整代码:
import numpy as np
import pandas as pd
import matplotlib.pyplot as pltfrom linear_regression import LinearRegression# 数据集处理部分
dataset = pd.read_csv('ML_algorithm/data/world-happiness-report-2017.csv')train_data = dataset.sample(frac = 0.8) # 训练集
test_data = dataset.drop(train_data.index) # 测试集input_param_name = 'Economy..GDP.per.Capita.'
output_param_name = 'Happiness.Score'x_train = train_data[[input_param_name]].values
y_train = train_data[[output_param_name]].valuesx_test = test_data[input_param_name].values
y_test = test_data[output_param_name].valuesplt.scatter(x_train,y_train,label = 'Train data') # scatter绘制散点图,数据1
plt.scatter(x_test,y_test,label = 'Test data') # 数据2
plt.xlabel(input_param_name) # x轴
plt.ylabel(output_param_name) # y轴
plt.title('Happy') # 图名
plt.legend()
plt.show()# 训练部分
num_iterations = 500 # 迭代轮次
learning_rate = 0.01 # 学习率linear_regression = LinearRegression(x_train,y_train)
(theta,loss) = linear_regression.train(learning_rate,num_iterations)print('开始时的损失',loss[0])
print('训练后的损失',loss[-1])plt.plot(range(num_iterations),loss) # plot绘制折线图
plt.xlabel('Iter')
plt.ylabel('loss')
plt.title('GD')
plt.show()# 测试部分
predictions_num = 100
x_precitions = np.linspace(x_train.min(),x_train.max(),predictions_num).reshape(predictions_num,1)
y_precitions = linear_regression.get_prediction(x_precitions)plt.scatter(x_train,y_train,label = 'Train data') # scatter绘制散点图,数据1
plt.scatter(x_test,y_test,label = 'Test data') # 数据2
plt.plot(x_precitions,y_precitions,'r',label = 'Prediction')
plt.xlabel(input_param_name) # x轴
plt.ylabel(output_param_name) # y轴
plt.title('Happy') # 图名
plt.legend()
plt.show()

