回到黎曼泽塔函数,
![]()
我们知道它有平凡解和非平凡解。但无论什么解都是解,解的意思就是当s取某个值的时候函数的值为0。为什么0这么重要?因为0可以代表“不相关”,当某个s使得函数的值为0,说明这个s就导致了这个函数和其它的东西不相关,这个函数就完全由这个函数自身的形式和它的参数s来决定了。与其它东西相互作用,就相当于在时间中会发生变化。而0无论是加法还是乘法,都不可能在时间中发生变化,所以它也意味着守恒也就是稳定的存在。
另外此处的泽塔函数,它还代表质数之间的一系列关系,

泽塔带参数s,就是所有质数的s次幂的倒数被1减去之后的倒数的全乘积。我们在分析哥德巴赫猜想的时候曾经提到加括号的问题,发现数的累积只能写成单位1累积的形式,意味着人可以随意的数数,但是数本身不会随意的聚合。也就是说那些不由某个数量重复的,才是真正的单位,而在我们的认识里面这些单位就叫做质数。
从虚数单位的定义我们知道(这里有略微的改动:根号下的数换成了1而不是-1),
![]()
比如
![]()
![]()
由这个定义,虚数单位
其实就是
,也就是1的四次方根,所以,
![]()
这里1显然是单位。根据上面的分析可以知道,不仅仅1是自然之中的单位,所有的质数都是自然之中的单位,那么质数的s次方根,也显然可以作为s次基础上的更根本的单位,所以可以写出,
![]()
![]()
其中
指的是包括1在内的质数单位。根据虚数单位的定义,
![]()
可以导出,
![]()
![]()
进而可以导出,
![]()
又因为,
![]()
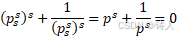
所以可以得到,
![]()
![]()
以及,
![]()
![]()
