目录
1、课程及模型介绍
2、谐波线性化方法介绍
3、跟网型及构网型并网变流器的特点
4、跟网型变流器/VSC拓扑及控制结构
5、不同坐标系下VSC序阻抗建模推导过程
5.1 abc三相坐标系下的VSC序阻抗建模
5.2 d-q旋转坐标系下的VSC序阻抗建模
5.2.1 Park变换及频率偏移效应、二倍频镜像频率耦合效应
5.2.1.1 Park正变换与频率偏移效应
5.2.1.2 Park反变换与二倍频镜像频率耦合效应
5.2.2 锁相环相角为给定基频相角,忽略相角小信号扰动
5.2.3 加入相角小信号扰动,考虑完整的锁相角
6、跟网型变流器/VSC序阻抗验证
6.1 基于Matlab/Simulink的阻抗扫频验证
6.1.1 整体思路和流程
图5 阻抗扫频原理示意图
6.1.2 算例模型及具体实现
6.2 基于硬件在环仿真平台的阻抗扫频验证
7 小干扰稳定性专栏出版声明
8 文章版权声明
参考文献
1、课程及模型介绍
本人为985院校电气工程博士在读,研究方向为新型电力系统小干扰稳定性分析。该文章是小干扰稳定性系列文章的第一篇,重点讲解基于谐波线性化方法的跟网型并网逆变器/VSC宽频序阻抗建模及扫频(Matlab/Simulink平台)原理及实现。目的在于,尽我所学,将晦涩繁琐的理论公式通过通俗易懂的方式讲解清楚原理本质,让看似“高门槛”的阻抗建模理论知识更加容易理解学习,与各位初学者和同行进行学术分享,希望对大家有所帮助,不足之处也欢迎大家多多批评指正。
小干扰稳定性系列文章的第二篇重点讲解小干扰稳定性分析理论及应用实操(链接:新能源发电并网系统/新型电力系统小干扰稳定性分析/宽频振荡复现(频域阻抗分析法/时域模态分析法/仿真分析法)-CSDN博客文章浏览阅读134次。本人为985院校电气工程博士在读,研究方向为新型电力系统小干扰稳定性分析。该文章重点讲解新能源发电并网系统/新型电力系统小干扰稳定性分析方法/宽频振荡复现(频域阻抗分析法/时域模态分析法/仿真分析法)。目的在于,尽我所学,将晦涩繁琐的理论公式通过通俗易懂的方式讲解清楚原理本质,让看似“高门槛”的小干扰稳定性理论更容易理解学习,与各位初学者和同行进行学术分享,希望对大家有所帮助,不足之处也欢迎大家多多批评指正。欢迎留言交流探讨。各位如果有需要获取本文章中涉及的代码和模型,可联系QQ:2293540475。
https://blog.csdn.net/2401_82983656/article/details/136106081
欢迎留言交流探讨。各位如果有需要获取本文章中涉及的代码和模型,可联系QQ:2293540475。
2、谐波线性化方法介绍
当采用谐波线性化方法进行序阻抗建模时,其基本思路是通过对系统的激励叠加一系列频率处的谐波扰动,忽略扰动项的二次及更高次部分,仅保留其一次项线性部分。常量/常系数一阶幂级数展开后的小信号扰动均为0。谐波线性化方法本质上是在稳态工作点处对模型进行一阶幂级数展开。
基于谐波平衡和小信号推导,通过系统电路参数、控制结构及其额定工作状态获得注入特定频次电压小信号所对应的电流响应,建立正负序谐波电压和相应的电流谐波分量之间的关系,得到仅考虑小扰动分量的系统谐波线性化模型,再将线性化模型中的电压与电流相除获得并网逆变器的正负序阻抗解析表达式,进而实现系统小干扰稳定性的分析,适用于推导二次耦合谐波(镜像频率耦合响应)的影响。
3、跟网型及构网型并网变流器的特点
当前的新能源并网系统主要以跟网型(grid-following,GFL)变流器VSC为主。VSC通过锁相环(phase lock loop,PLL)跟随电网电压实现同步,采用电流矢量控制并网电流,实现功率的快速调节,对外表现为受控电流源的形式。VSC以其简单控制结构、成熟PLL 技术及其在最大功率点工作的特性被广泛应用于风电、光并网控制。由于VSC需要通过PLL跟随电网电压,需要交流系统提供同步电压,并网时无法为电网提供有益支撑,随着其在电力系统中渗透率的提高,局部地区电网强度变弱,电网调频调压难度增加,VSC与弱电网间的交互作用导致宽频振荡事故频繁发生,不利于对高渗透率新能源电力系统的安全稳定运行。
同步发电机是传统电力系统中重要的发电设备,它具有机械转子惯性和阻尼作用,因此并网时同时具备电压/频率支撑以及并/离网双模式运行的能力。随着风电、光伏大基地的开发,局部地区将形成以弱、无同步机支撑的电网[1],需采用基于下垂控制(Droop Control)或虚拟同步机控制(Virtual Synchronous Generator,VSG)[的新能源控制策略模拟同步发电机的调频调压功能,并网时皆可为电网系统电压与频率提供有益支撑,即构网型(grid-forming,GFM)变流器。GFM 通过功率同步控制实现与电网同步,采用电压幅值、频率控制方式实现交流电压控制,对外呈现“电压源”特性。GFM 不依赖于外部电网而自行构建系统所需电压,既可独立运行也可在弱网条件下运行。

图1 新能源发电并网系统结构[2]
本文章以跟网型变流器VSC为例,讲解谐波线性化建模原理思想及频率偏移效应、二倍频镜像频率耦合效应的产生机理,推导建立跟网型变流器VSC的序阻抗模型,并介绍序阻抗扫频实现方法。本文所部分复现的文献包含但不限于[1],[3]-[7]。
4、跟网型变流器/VSC拓扑及控制结构
本文将分别以相序域电流环控制结构以及d-q域电流环控制结构的跟网型变流器/VSC,尽可能详细全面讲解序阻抗建模原理及推导过程。
图2为LCL滤波型跟网型变流器/VSC的三相电路及典型控制结构图[4]。图中,Udc为直流输入电压;Cv为直流电容;Sabc为三相桥臂开关管;Mabc为三相调制电压;vd、id为三相桥臂输出电压及VSC输出电流;iv为变流器侧电感电流;vc、ic为滤波器电容支路电压、电流;;Zg 为电网阻抗,Zg=sLg(忽略电网电阻的阻尼作用);vg为公共耦合点(point of common coupling,PCC)处的三相电网电压;ig为网侧电感电流;L1、Cf和L2构成LCL滤波器;Rc为VSC滤波电容寄生电阻;Gi(s)为电流环调节器,Gi(s)=kp_i+ki_i/s;Gdi(s)是电流采样延时环节的等效传递函数[3],包含一拍采样滞后、零阶保持器、采样环节和电流采样低通滤波器。基于同步参考坐标系(SRF)的锁相环相角由基频相角和相角小信号扰动分量组成。图2(b)、图2(c)中红色标注的路径为控制系统小信号通道,利用谐波线性化方法时仅需要考虑小信号通道和小信号分量。

(a)跟网型变流器/VSC三相电路

(b)相序域电流环控制结构

(c)d-q域电流环控制结构

(d)SRF-PLL电路
图2 跟网型变流器/VSC三相电路及控制结构
5、不同坐标系下VSC序阻抗建模推导过程
谐波线性化建模方法是将系统中非线性部分近似为有限正弦信号的线性叠加,在频域中推导变流器的输出阻抗模型,利用三角函数变换或傅里叶变换卷积等性质可以简化系统线性模型的推导过程。 在对三相变流器型电源进行建模时,可采用对称分量法,将三相变流器型电源分解为正负序子系统,分别注入正序、负序电压扰动信号(一般采用串联电压扰动源注入的形式,相比于并联电流扰动源注入的形式精度更高),得到扰动频率处电流响应,建立变流器在abc坐标系下的正序、负序阻抗模型(Zvsc_p、Zvsc_n)。VSC交流并网系统构成的小信号等效电路如图3所示。

(a)注入正序扰动

(b)注入负序扰动
图3 跟网型变流器正负序小信号等效电路
根据图3,Ig的表达式如式(1)所示:
(1)
其中,Tm代表前向通道增益为1,负反馈通道增益为Zgrd(s)/Zinv(s)的负反馈控制系统系统,其中vg(s)/Zvsc(s)为系统阻抗比。小干扰稳定性状态主要取决于并网电流Ig的稳定性,Ig的稳定性取决于Tm的稳定性,Tm是否稳定取决于vg(s)/Zvsc(s)是否满足Nyquist稳定判据。因此,VSC的阻抗建模是小干扰稳定性分析的基础,采用序阻抗模型可简化稳定性分析,并且具有明确的物理意义。需要注意的是,正负序系统均满足稳定判据时说明系统稳定;并网系统中的子系统独立运行时均稳定,系统不存在右半平面极点,因此,在进行稳定性分析时,无需考虑右半平面极点的影响,只关注互联系统阻抗比。
对于三相系统,本文采用谐波线性化的方法将VSC输出阻抗分解为正负序分量,建立其正负序阻抗模型。而三相系统仅相位各差120°,B,C相输出阻抗与A相相同,因此本文以A相为例建立VSC正序输出阻抗模型。电网侧注入正序电压扰动vpa,叠加于稳态工作点,VSC的A相主电路等效小信号电路如图3所示:

图3 VSC的A相主电路等效小信号电路
由图3可知,根据谐波线性化建模思想,给定扰动电压源为vp注入VSC三相系统,可得到扰动频率处的响应电流。可将图3中的时域变量通过傅里叶变换原理转换到频域下,包含基频分量、扰动序分量,以Iga和Vpa为例:
(2)
式(2)中,以Vp为例,根据欧拉变换原理可知频域量的具体表达式![]()
可定义VSC的A相正负序阻抗Zvsc(s)为:
(3)
回到阻抗建模部分,根据图2,跟网型变流器VSC时域三相电路核心方程、A相频域核心方程分别如(4)、(5)所示。
(4)
(5)
其中,[mda mdb mdc]T为变流器三相桥臂调制电压,起到主电路与控制电路之间的桥梁纽带作用。Kpwm为变流器调制比,三相VSC采用脉宽调制(Pulse Width Modulation,PWM)算法,本文中Kpwm等效为1。[vga vgb vgc]T为包含基频分量和小扰动分量的电网电压。[iga igb igc]T为包含基频分量和小扰动分量的电网电流。
核心思想:VSC主电路拓扑保持不变时,主电路核心方程是确定的,此时不同的控制策略(跟网型、构网型、PQ、Vdc、Vac、附加阻尼控制等)主要影响变流器三相桥臂调制电压,因此利用谐波线性化原理求得变流器三相桥臂调制电压小信号量是求解系统序阻抗模型的关键,具体实现方法为从输入小信号分量开始走完控制结构的小信号通路直至得到输出的调制小信号,进一步将调制小信号代入主电路核心方程,可求解得到系统序阻抗模型。通过合理设计控制策略、控制结构、控制参数,可重塑变流器的端口阻抗特性,达到改善阻尼性能的作用,进一步提升系统小干扰稳定性。本文以电流控制环为例推导VSC阻抗模型,下文4.2.1、4.2.2小节将分别给出仅考虑基频相角的锁相环相角以及考虑完整锁相角下的VSC正负序阻抗推导过程。
5.1 abc三相坐标系下的VSC序阻抗建模
如图2(b)所示,三相调制电压小信号如式(4)所示:
(6)
采用相序域下的控制结构时,对称工况下正负序阻抗相同,且不存在频率偏移效应及二倍频镜像频率耦合现象。将公式(6)代入公式(5)中,得到:
(7)
进一步可求解得到abc三相坐标系下的变流器正负序阻抗解析表达式为:(相序域的对称控制结构下,VSC正负序阻抗相同)
(8)
5.2 d-q旋转坐标系下的VSC序阻抗建模
5.2.1 Park变换及频率偏移效应、二倍频镜像频率耦合效应
5.2.1.1 Park正变换与频率偏移效应
首先给出三角变换的积化和差及和差化积公式(与频域卷积本质上相同):
cos(α+β)=cosα·cosβ-sinα·sinβ;sin(α±β)=sinα·cosβ±cosα·sinβ

注入正序扰动时,以三相电网电流Ig的小信号分量为例(扰动频率为fp),三相电网电流Ig的时域小信号分量为:
(9)
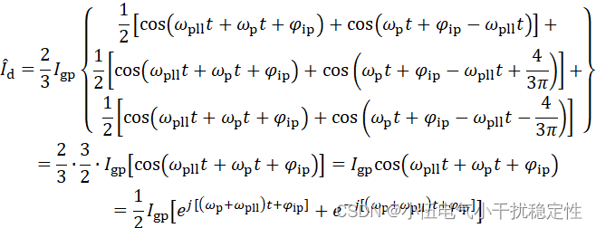
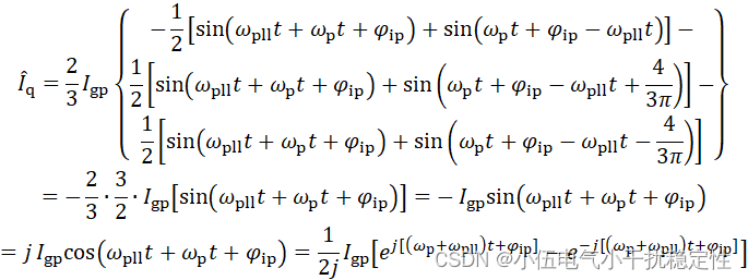
结合上述的积化和差、和差化积公式,d-q域下的正序Id、Iq小信号量推导过程如下(θp=ωpll*t=2πfpll*t):
(10)
其中,
(11)

(12)
可见,正序三相扰动量经过Park坐标变换为d-q域下扰动量时,在d-q坐标系下的小信号频率产生了偏移,即频率偏移效应,此时小信号频率为fp-fpll,fp+fpll频次的谐波分量三相对称抵消。如果忽略相角小信号扰动时,此时d-q坐标系下小信号频率为fp-f1,对于基频电气量,经过d-q变换后小信号频率为f1-f1=0,因此基频电气量在d-q域下被转换为了直流分量,获得了直流稳态工作点,这也是dq阻抗建模法的重要基础。
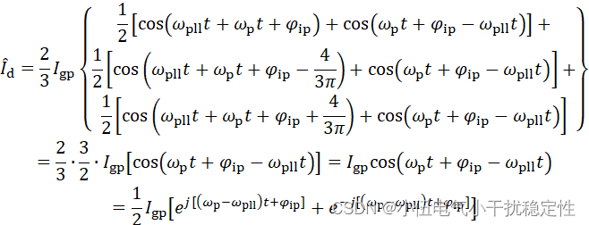
同理:注入负序扰动时,d-q域下的负序Id、Iq小信号量推导过程如下(θp=ωpll*t=2πfpll*t):

(13)
(14)
可见,负序三相扰动量经过Park坐标变换为d-q域下扰动量时,在d-q坐标系下的小信号频率产生了偏移,即频率偏移效应,此时小信号频率为fn+fpll,fn-fpll频次的谐波分量三相对称抵消。如果忽略相角小信号扰动时,此时d-q坐标系下小信号频率为fn+f1。
注意:正负序变量中已经包含了一个频率成分的所有信息,扰动频率处所对应的时域波形可直接由+(fp-fpll)或+(fn+fpll)求得,因此可以下文仅给出+(fp-fpll)或+(fn+fpll)对应的方程。
5.2.1.2 Park反变换与二倍频镜像频率耦合效应
在忽略相角小信号扰动的前提下(θp=ω1*t=2πf1*t=θ1),网侧分别注入三相fp频次的正、负序扰动后,经控制环节得到的调制电压小信号表达式可定义如下:
(15)
(16)
经过Park反变换后,可得到三相桥臂输出电压小信号为(θp=ωpll*t=2πfpll*t):
(17)
结合三角变换,计算化简可得正负序桥臂输出小信号中均含有扰动频次及扰动耦合频率的小信号量:
(18)
(19)
忽略PLL相角小信号扰动,且认为d-q坐标系下电流控制环完全对称的情况下,即Mdp=Mqp=Mp、Mdn=Mqn=Mn、φmdp=φmqp=φmp、φmdn=φmqn=φmn时,三相桥臂输出小信号仅含有扰动频率小信号量:
(20)
(21)
因此可见产生频率偏移及二倍频镜像频率耦合效应的直接原因为:变流器采用d-q域控制系统,由于坐标变换变换矩阵中含有正余弦运算,Park变换与Park反变换过程中产生了频率偏移及二倍频镜像频率耦合效应。
并网变流器二倍频镜像频率耦合效应产生机理:当并网变流器控制策略:1)采用锁相环且锁相环控制带宽较大;2)d 轴和q 轴控制系统不对称(包含控制结构和控制参数);3)直流母线电容较小(不足以维持直流电压稳定),采用直流电压外环且直流电压外环带宽较大,当存在以上3种情况时,施加某一频率的电压扰动,除了产生扰动频率的电流响应分量之外,还会产生另一个耦合频率处的电流响应分量,这种现象被称为并网变流器的二倍频镜像频率耦合效应。需要说明的是,当正序扰动电压频率小于100Hz时,产生的电流响应是两个不同频率的正序分量,此时的频率耦合现象发生在正序和正序之间。如下表所示[7]:

5.2.2 锁相环相角为给定基频相角,忽略相角小信号扰动
跟网型并网逆变器进行序阻抗建模分析时,首先忽略锁相环的小干扰频率特性影响,将锁相角视作理想基频相角,即θp=θ1。由本文4.1可知,对并网电流Ig进行坐标变换及傅里叶变换,可得到其频域表达式:
(22)
根据4.2.1节,式(22)可简写为:
(23)
VSC采用d-q轴电流闭环控制,经电流调节器输出可得到调制电压小信号的频域正序表达式Md_p和Mq_p分别为:
(24)
调制电压小信号的频域负序表达式Md_n和Mq_n分别为:
(25)
分别将式(24)、式(25)代入公式(5),可得:

(26)
进一步可求解得到忽略锁相环相角小信号扰动时,d-q域下变流器正负序阻抗解析表达式为:

(27)
5.2.3 加入相角小信号扰动,考虑完整的锁相角
对于跟网型变流器,需要采用锁相环对电网电压进行锁相,实现并网电流相位跟踪控制,而注入谐波扰动后,电网电压既包含基频,也包含谐波分量,因此有必要考虑锁相环相角小信号扰动,对完整的锁相环频率特性进行谐波线性化建模分析。
根据本文4.2.1小节分析可知,锁相环会引入频率耦合效应,且考虑锁相环相角小信号扰动后θp=θ1+∆θ,需要对Park变换矩阵进行线性化处理:
(28)
根据图2(d)、公式(28)可知,三相电网电压首先经过基频相角变换模块得到频率偏移后的dq轴电网电压,进一步经过Tabc/dq(∆θ)变换模块后,可得到考虑完整锁相环相角的dq轴电网电压。接着,经过PLL控制电路后可得到锁相环输出相角。求解∆θ是关键。经过基频相角变换模块的dq轴电网电压如下:
(29)
为了求出∆θ,假设正负序电压和∆θ之间的关系表达式为:
(30)
基于公式(29),经过Tabc/dq(∆θ)变换模块的正、负序q轴电网电压分别如(31)、(32)所示:
(31)
(32)
根据图2(d)中PLL控制框图的前馈通道可知(kp_pll、ki_pll为PLL的PI控制参数),
(33)
进一步可得:
(34)
结合公式(30)、(34)可得,正负序下cos(θp)对Vp的闭环传递函数为:
(35)
同理,可求解得dq轴电流:
(36)
(37)
VSC采用d-q轴电流闭环控制,考虑相角小信号扰动,经电流调节器输出可得到调制电压小信号的频域正序表达式Md_p和Mq_p分别为:
(38)
(39)
将公式(33)-(37)代入(38)、(39),根据小信号扰动电压激励与输出电流响应的关系,可推导出三相并网逆变器正负序输出阻抗(V1、V1*为电网基频电网及其共轭,I1、I1*为电网基频电流及其共轭):
(40)
(41)
其中,由LCL型三相并网逆变器的主电路动态特性可以求取调制信号的稳态工作点M1为:
(42)
5.2.4 注意要点和相关说明
1、选取不同的电气量采样点,比如逆变器侧电感电流、电网电流、电容电压、电网电压等,根据主电路KCL、KVL关系获得计算阻抗所需的电网电流扰动响应,最终按公式(3)求解得到的阻抗模型结果一致。
2、不同滤波结构下的变流器阻抗特性不同,滤波结构主要影响中高频动态特性。建模时,可先从简单的单L型滤波结构开始,再一步步拓展到完整LCL滤波结构。
3、本文推导过程中,考虑了PLL相角小扰动及电流环的影响及频率耦合效应,可得到准确的变流器一维序阻抗模型。文献[7]考虑了直流电压外环、PLL控制带宽、不对称电流环等频率耦合因素,搭建了变流器二维序阻抗模型,与本文所搭建的模型相比频率耦合效应更加突出,感兴趣的可自行学习。
6、跟网型变流器/VSC序阻抗验证
6.1 基于Matlab/Simulink的阻抗扫频验证
6.1.1 整体思路和流程
整体思路:推导建立跟网型变流器的序阻抗模型后,利用Matlab代码实现理论阻抗建模,基于Matlab/Simulink平台搭建仿真模型并利用谐波线性化原理进行扫频,将理论阻抗Bode图与扫频阻抗特性进行对比,验证宽频范围内阻抗模型的正确性。阻抗扫频原理示意图如图5所示。

图5 阻抗扫频原理示意图
阻抗建模及扫频对比详细流程如下:
① 根据第4章推导的VSC序阻抗解析表达式,利用Matlab代码建立s变量下序阻抗模型,并基于程序扫频代入具体频率序列求解对应的序阻抗值,分解为幅值和相位,绘制bode图描述阻抗特性。
② 基于Matlab/Simulink平台搭建VSC交流并网仿真模型,并调整运行正确。
③ 设置扫频用的扰动频率序列,仿真模型运行至稳态后,采用串联电压源的方式向VSC侧分别逐一注入扰动频率处的正序、负序电压小扰动。
6.1.2 算例模型及具体实现
本文讲解到此处结束,提供一组跟网型变流器VSC系统参数及具体实现结果,可实现全频段(包含低频段和中高频段)的精确扫频以及阻抗特性对比。从图6的跟网变流器/VSC序阻抗扫频对比图中可以看出,本文所建立的VSC序阻抗模型在全频段内与扫频测量结果高度吻合,说明了本文所建立的VSC序阻抗模型的精确性。从图6还可以看出,VSC的正序阻抗特性在1Hz~400Hz频段内与负序阻抗特性有差别,差别在于VSC的正序阻抗特性体现出了频率耦合效应,即在40Hz~60Hz频段内出现了关于50Hz对称的谐振峰动态,从本文的机理建模分析可知,该频率耦合特性是由PLL动态引起的,次/超同步频段内阻抗特性由PLL和电流内环动态主导,中高频动态由电流内环和LCL滤波器动态主导;正序阻抗和负序阻抗在400Hz以上频段一致,高频段主要反映出了LCL滤波器的动态特性。同时,锁相环带宽越宽,直流母线电容越小,直流母线电压外环带宽越窄,变流器的频率耦合效应越明显,详见参考文献[8]。
阻抗建模及扫频的更多实现细节不便于全部展开,欢迎留言讨论,各位如果有需要获取本文章中涉及的代码和模型,可联系QQ:2293540475。希望对大家有所帮助。
| 参数 | 数值 |
| 输出功率Pn/kW | 50 |
| 直流电压Vdc/V | 720 |
| 电网线电压V1/V | 380 |
| 额定频率f1/Hz | 50 |
| 逆变器侧滤波电感/mH | 0.56 |
| 滤波电容/μF | 14 |
| 滤波电容寄生电阻/mΩ | 0.15 |
| 电网侧滤波电感/mH | 0.16 |
| 电流环比例系数kp_i | 0.35 |
| 电流环积分系数ki_i | 820 |
| 锁相环比例系数kp_pll | 0.049 |
| 锁相环积分系数ki_pll | 0.661 |

(a)VSC正序阻抗

(b)VSC负序阻抗
图6 跟网变流器/VSC序阻抗扫频对比图
6.2 基于硬件在环仿真平台的阻抗扫频验证
除了仿真扫频的方法外,可基于控制硬件在环实时仿真实现阻抗扫频测量,也是一种分析阻抗特性的有效研究与实验手段,其阻抗测量结果受仿真平台性能参数的影响。这部分内容本文不展开写了,有感兴趣的可学习文献[8]-[9]等。
7 小干扰稳定性专栏出版声明
出版声明:今年将陆续出版小干扰稳定性专栏,给大家呈现一系列小干扰稳定性相关的讲解文章(包含但不限于跟网型/构网型变流器阻抗稳定性分析及稳定控制策略、新能源/逆变器型并网系统控制交互作用特性及机理分析、大规模新能源并网系统等值阻抗建模及动态特性分析、基于谐波状态空间/多谐波线性化的MMC交直流侧序阻抗建模及稳定性分析、MMC高频简化等效阻抗建模及稳定性分析等)。期间有任何疑问或需要的可随时联系。
相关文章正在抓紧赶工中,期间有任何疑问或需要的可随时联系。
共同进步!感谢支持!敬请期待!
8 文章版权声明
版权声明:本文为博主原创文章,遵循 CC 4.0 BY-SA 版权协议,转载请附上原文出处链接和本声明。
参考文献
[1] 雷雨,李光辉,王伟胜,何国庆,郭梓暄.跟网型和构网型新能源并网控制阻抗对比与振荡机理分析[J/OL].中国电机工程学报,2024-01-25.https://link.cnki.net/urlid/11.2107.TM.20240124.1816.011.
[2] 赵冰.电压控制型逆变器控制策略及并网特性研究[D].南京航空航天大学,2018.
[3] 王赟程,陈新,陈杰,龚春英.基于谐波线性化的三相LCL 型并网逆变器正负序阻抗建模分析[J].中国电机工程学报,2016,36(21):5890-5898.
[4] Cespedes M,Sun Jian.Impedance modeling and analysis of grid-connected voltage source converters[J] .IEEE Trans. on Power Electronics,2014,29(3):1254-1261.
[5] Sequence Impedance Modeling and Stability Assessment for Load Converters in Weak Grids[J].IEEE Trans. on Industrial Electronics,2021,68(5),4056-4067.
[6] 伍文华.新能源发电接入弱电网的宽频带振荡机理及抑制方法研究[D].湖南大学,2019.
[7] 年珩,徐韵扬,陈亮,李光辉.并网逆变器频率耦合特性建模及系统稳定性分析[J].中国电机工程学报,2019,39(5):1421-1431.
[8] 李光辉,王伟胜,刘纯,何国庆,叶俭,孙建.基于控制硬件在环的风电机组阻抗测量及影响因素分析[J].电网技术,2019,43(5):1624-1631.
[9] 马宁宁,杜维柱,刘朋印,李蕴红,刘威,谢小荣.基于控制硬件在环测试的风电次/超同步振荡风险评估[J].中国电机工程学报,2022,42(15):5497-5505.
