对表达式进行化简是符号计算系统必须具有的基本功能,这是因为在处理数学问题时,符号计算系统所产生的结果可能很长,虽然他们在数学上是正确的,但是对于用户来说,这样的结果是很难理解的,更不可能从中得出什么结论.因此我们必须对表达式化简
对于符号计算系统,化简一个数学表达式不是一件很容易的事情,主要的困难在于符号计算系统无法确定什么样的数学表达式是最简单的数学表达式.与人的认识比较接近的定义是最简表达式应包含尽可能少的项,然而从数学的观点来看着并不一定是正确的,Maple处理这个难题的方法是把主动权交给用户.
对于一个表达式,除非有明显的可以化简的项外,Maple通常不会自动化简表达式.用户可以用simplify命令化简表达式,此时Maple应用一系列规则去寻求较简单的表达式.
对于三角表达式,对数和指数表达式,带根号的表达式,带幂的表达式,RootOf表达式以及各种特殊函数,Maple知道他们的化简规则.
如果把某个特定的化简规则作为simplify命令的参数特别指定,则simplify命令仅使用这个(类)化简规则.关于Maple内部化简规则的一览表,参看?simplify.

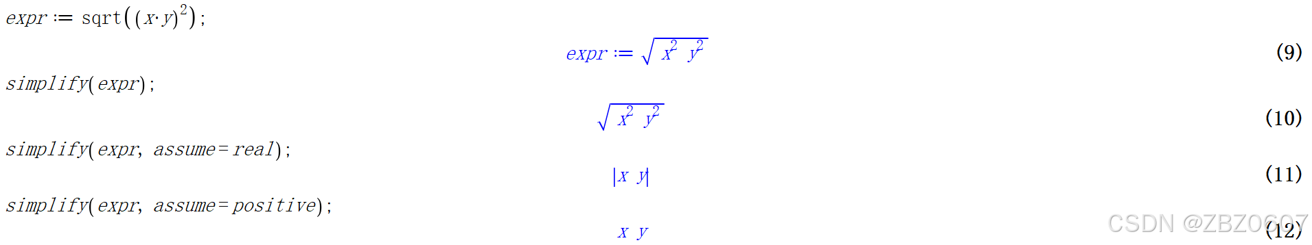
4.3.1带有假设的化简
Maple可能拒绝执行一个很明显的化简,这是因为,虽然用户了解某个变量具有的特殊性质,但Maple不一定了解,在一般的方式下可能无法处理这个变量.
选项assume=property告诉simplify在特定的表达式中未知量具有性质property.
也可以使用一般的assume命令来对单个变量逐一加假设.
4.3.2带有附加关系的化简
有时你需要使用特殊的变换规则来化简一个表达式.simplify命令使用附加关系来完成这一项工作.
你也可以用集合或者列表的方式给出一个或多个附加关系.simplify命令把给定的方程作为附加的化简规则.
指定simplify执行化简的次序提供了另一水平的控制.
上图中第一种情况,Maple在表达式中作代换x^2=1-y^2,然后在试图对y^2项做代换.由于没找到,他就停止了工作.在第二种情况里,做了y^2=1-x^2这样的代换,然后在试图对x^2作代换,由于没找到,他就停止了工作.
多项式GrÖbner基理论是simplify命令工作的基础,要更多的了解这方面的情况,参见Maple帮助页面
?simplify,siderels.
