1.概念
数据结构是计算机科学中的一个核心概念,它是指数据的组织、管理和存储方式,以及数据元素之间的关系。数据结构通常用于允许高效的数据插入、删除和搜索操作。
数据结构大致分为几大类:
线性结构:数组、链表、栈、队列等。
非线性结构:树、二叉树、堆、图等。
散列:哈希表。
索引:B树、B+树等。
2.常见数据结构
2.1 栈
栈(stack),它是一种运算受限的线性表,遵循后进先出(Last In First Out,LIFO)原则的数据结构。
-
LIFO(last in first out)表示就是后进入的元素, 第一个弹出栈空间. 类似于自动餐托盘, 最后放上的托盘, 往往先把拿出去使用.
-
其限制是仅允许在表的一端进行插入和删除运算。这一端被称为栈顶,相对地,把另一端称为栈底。
-
向一个栈插入新元素又称作进栈、入栈或压栈,它是把新元素放到栈顶元素的上面,使之成为新的栈顶元素;
-
从一个栈删除元素又称作出栈或退栈,它是把栈顶元素删除掉,使其相邻的元素成为新的栈顶元素。

栈常见的操作
-
push(element): 添加一个新元素到栈顶位置.
-
pop():移除栈顶的元素,同时返回被移除的元素。
-
peek():返回栈顶的元素,不对栈做任何修改(这个方法不会移除栈顶的元素,仅仅返回它)。
-
isEmpty():如果栈里没有任何元素就返回true,否则返回false。
-
clear():移除栈里的所有元素。
-
size():返回栈里的元素个数。这个方法和数组的length属性很类似。
2.1.1 入栈

2.1.2 出栈

2.1.3 代码分析
-
使用数组来模拟栈
-
定义一个 空数组
-
入栈的操作,当有数据加入到栈时,判断数组长度是否达到阈值,是则抛栈已满的异常,否则将数据追加到数组的尾部;
-
出栈的操作,判断栈是否空,是则抛栈已空的异常,否则从数组尾部移除一个数据,并返回该数据;
代码实现:
class Stack:def __init__(self, size):self.items = []self.size = size
def isFull(self):return len(self.items) == self.size
def push(self, element):if self.isFull():raise Exception('stack is full')
self.items.append(element)
def pop(self):if self.isEmpty():raise Exception('stack is empty')
return self.items.pop()
def peek(self):if self.isEmpty():raise Exception('stack is empty')return self.items[-1]
def isEmpty(self):return len(self.items) == 0
def clear(self):self.items.clear()
if __name__ == '__main__':stack = Stack(20)stack.push(1)stack.push(2)print(stack.peek())
2.2 链表
链表是一条相互链接的数据节点表。每个节点由两部分组成:数据和指向下一个节点的指针。

2.1 链表的优缺点
优点:
-
物理存储单元上非连续,而且采用动态内存分配,能够有效的分配和利用内存资源;
-
节点删除和插入简单,不需要内存空间的重组。
缺点:
-
不能进行索引访问,只能从头结点开始顺序查找;
-
数据结构较为复杂,需要大量的指针操作,容易出错。
2.2 单向链表
2.2.1 插入
尾部插入
从头结点开始逐个遍历链表,直到找到next=null,表示为最后一个节点,再将最后节点的next指向新增节点。

头部插入
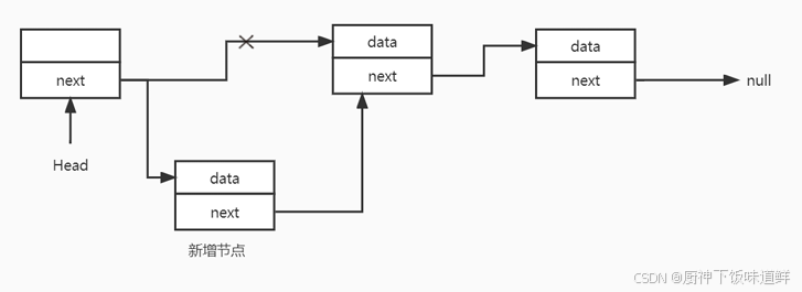
如果头节点的next=null表示链表为空,直接将头节点的next指向新增节点
如果头节点的next!=null,表示头节点后已存在后续节点,需要将新增节点插入到头节点和后续节点中间:
1.获取头节点的后续节点,定义一个临时节点,将该节点指向临时节点
2.将头节点的next指向新增节点
3.新增节点的next指向临时节点

2.2.2 遍历
从头结点开始,通过next遍历,直到next=null

2.2.3 删除

2.2.4 代码实现
class Node:def __init__(self, data=None):if data is not None:self.data = dataself.next = None
class LinkedList:def __init__(self):head = Node()self.head = head
def append(self, data):new_node = Node(data)# 如果链表为空,则在头部后插入if self.head.next is None:self.head.next = new_nodeelse:node = self.head.nextwhile node.next is not None:node = node.nextnode.next = new_node
def prepend(self, data):new_node = Node(data)if self.head.next is None:self.head.next = new_nodeelse:new_node.next = self.head.nextself.head.next = new_node
def remove(self, data):if self.head.next is None:raise Exception('Linked List is empty')node = self.head.nextwhile node.data != data:node = node.nextnode.next = node.next.next
def display(self):node = self.head.nextwhile True:print(node.data)if node.next is None:breaknode = node.next
if __name__ == '__main__':list = LinkedList()list.append(1)list.append(2)list.prepend(3)list.display()
2.3 队列
队列(Queue),它是一种运算受限的线性表,先进先出(FIFO First In First Out)
-
队列是一种受限的线性结构
-
受限之处在于它只允许在表的前端(front)进行删除操作,而在表的后端(rear)进行插入操作

Python标准库中的queue模块提供了多种队列实现,包括普通队列、双端队列、优先队列等。
2.3.1 普通队列
queue.Queue 是 Python 标准库 queue 模块中的一个类,适用于多线程环境。它实现了线程安全的 FIFO(先进先出)队列。
案例:
import queue
q = queue.Queue()
q.put(1)
q.put(3)
q.put(2)
print(q.qsize())
print(q.get())
print(q.get())
print(q.get())
2.3.2 双端队列
双端队列(Deque,Double-Ended Queue)是一种具有队列和栈性质的数据结构,它允许我们在两端进行元素的添加(push)和移除(pop)操作。在Python中,双端队列可以通过collections模块中的deque类来实现。
deque是一个双端队列的实现,它提供了在两端快速添加和移除元素的能力。
案例:
from collections import deque
q = deque()
q.append(1)
q.append(2)
q.appendleft(3)
q.appendleft(4)
print(q.pop())
print(q.popleft())
当结合使用appendleft和popleft时,你实际上是在实现一个栈(Stack)的数据结构,因为栈是后进先出(LIFO)的,而这两个操作正好模拟了栈的“压栈”和“弹栈”行为。append和pop结合使用同理。
2.3.3 优先队列
优先队列(Priority Queue)是一种特殊的队列,其中的元素按照优先级进行排序。优先级最高的元素总是最先出队。Python 标准库中提供了 queue.PriorityQueue 和 heapq 模块来实现优先队列。
queue.PriorityQueue
queue.PriorityQueue 是 Python 标准库 queue 模块中的一个类,适用于多线程环境。它实现了线程安全的优先队列。
案例:
import queue
q = queue.PriorityQueue()
# 向队列中添加元素,元素是一个元组 (priority, item),其中 priority 是优先级,item 是实际的数据
q.put((1,'item1'))
q.put((3,'item3'))
q.put((2,'item2'))
print(q.get())
print(q.get())
print(q.get())
heapq
heapq 模块是 Python 标准库中的一个模块,提供了基于堆的优先队列实现。heapq 模块不是线程安全的,适用于单线程环境。
案例:
import heapq
# 创建一个列表作为堆
heap = []
# 向堆中添加元素,元素是一个元组 (priority, item)
heapq.heappush(heap, (3, 'Task 3'))
heapq.heappush(heap, (1, 'Task 1'))
heapq.heappush(heap, (2, 'Task 2'))
# 从堆中取出元素
print(heapq.heappop(heap)) # 输出: (1, 'Task 1')
print(heapq.heappop(heap)) # 输出: (2, 'Task 2')
print(heapq.heappop(heap)) # 输出: (3, 'Task 3')
2.4 树
2.4.1 概念和术语
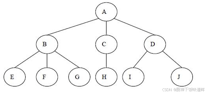
模拟树结构
-
公司组织架构:

-
红楼梦家谱

-
我们再将里面的数据移除, 仅仅抽象出来结构, 那么就是我们要学习的树结构

术语
在描述树的各个部分的时候有很多术语。
-
为了让介绍的内容更容易理解, 需要知道一些树的术语.
-
不过大部分术语都与真实世界的树相关, 或者和家庭关系相关(如父节点和子节点), 所以它们比较容易理解.
我们先来看一下树的结构

树的定义:
-
树(Tree): n(n≥0)个结点构成的有限集合。
-
当n=0时,称为空树;
-
对于任一棵非空树(n> 0),它具备以下性质:
-
树中有一个称为“根(Root)”的特殊结点,用 root 表示;
-
其余结点可分为m(m>0)个互不相交的有限集T1,T2,... ,Tm,其中每个集合本身又是一棵树,称为原来树的“子树(SubTree)”
注意:
-
子树之间不可以相交
-
除了根结点外,每个结点有且仅有一个父结点;
-
一棵N个结点的树有N-1条边。
-
树的术语:
-
1.结点的度(Degree):结点的子树个数.
-
2.树的度:树的所有结点中最大的度数. (树的度通常为结点的个数N-1)
-
3.叶子结点(Leaf):度为0的结点. (也称为叶子结点)
-
4.父结点(Parent):有子树的结点是其子树的根结点的父结点
-
5.子结点(Child):若A结点是B结点的父结点,则称B结点是A结点的子结点;子结点也称孩子结点。
-
6.兄弟结点(Sibling):具有同一父结点的各结点彼此是兄弟结点。
-
7.路径和路径长度:从结点n1到nk的路径为一个结点序列n1 , n2,… , nk, ni是 ni+1的父结点。路径所包含边的个数为路径的长度。
-
8.结点的层次(Level):规定根结点在1层,其它任一结点的层数是其父结点的层数加1。
-
9.树的深度(Depth):树中所有结点中的最大层次是这棵树的深度。
2.4.2 二叉树
2.4.2.1 概念
二叉树的定义
-
二叉树可以为空, 也就是没有结点.
-
若不为空,则它是由根结点和称为其左子树TL和右子树TR的两个不相交的二叉树组成。
二叉树有五种形态:
-
注意c和d是不同的二叉树, 因为二叉树是有左右之分的.

2.4.2.2 特性
-
二叉树有几个比较重要的特性, 在笔试题中比较常见:
-
一个二叉树第 i 层的最大结点数为:2^(i-1), i >= 1;
-
深度为k的二叉树有最大结点总数为: 2^k - 1, k >= 1;
-
对任何非空二叉树 T,若n0表示叶结点的个数、n2是度为2的非叶结点个数,那么两者满足关系n0 = n2 + 1。

-
2.4.2.3 特殊的二叉树
满二叉树(Full Binary Tree)
-
在二叉树中, 除了最下一层的叶结点外, 每层节点都有2个子结点, 就构成了满二叉树.
完全二叉树(Complete Binary Tree)
-
除二叉树最后一层外, 其他各层的节点数都达到最大个数.
-
且最后一层从左向右的叶结点连续存在, 只缺右侧若干节点.
-
满二叉树是特殊的完全二叉树.
-
下面不是完全二叉树, 因为D节点还没有右结点, 但是E节点就有了左右节点.
2.4.2.4 二叉树的存储
二叉树的存储常见的方式是链表.
链表存储:
-
二叉树最常见的方式还是使用链表存储.
-
每个结点封装成一个Node, Node中包含存储的数据, 左结点的引用, 右结点的引用.
2.4.2.5 二叉树遍历
前序遍历(Pre-order Traversal)、中序遍历(In-order Traversal)和后序遍历(Post-order Traversal)是二叉树的三种基本遍历方式。
遍历规则:
前序遍历,按照以下顺序访问节点:根节点、左子树、右子树。
中序遍历,按照以下顺序访问节点:左子树、根节点、右子树。
后序遍历,按照以下顺序访问节点:左子树、右子树、根节点。
2.4.3 二叉查找树
二叉查找树(Binary Search Tree, BST)是一种特殊的二叉树,它具有以下性质:
-
每个节点都有一个键值(key)。
-
对于每个节点,其左子树中的所有节点的键值都小于该节点的键值。
-
对于每个节点,其右子树中的所有节点的键值都大于该节点的键值。
-
左子树和右子树也分别是二叉查找树。
-
二叉查找树不允许出现键值相等的结点。
二叉查找树的主要操作包括插入、删除和遍历。代码实现如下:
2.4.3.1 创建二叉查找树节点
class TreeNode:def __init__(self, key):self.key = keyself.left = Noneself.right = None
-
key: 节点的键值。
-
left: 指向左子节点的指针。
-
right: 指向右子节点的指针。
2.4.3.2 创建二叉查找树类
class BinarySearchTree:def __init__(self):self.root = None
-
root: 指向二叉搜索树的根节点。初始时为 None。
2.4.3.3 插入节点
插入操作的步骤:
-
如果树为空:直接将新节点作为根节点。
-
如果树不为空:
-
从根节点开始,根据新节点的键值与当前节点的键值的比较结果,决定向左子树还是右子树移动。
-
如果新节点的键值小于当前节点的键值,如果当前节点没有左子树,则将新节点插入到当前节点的左子树,否则向左子树移动。
-
如果新节点的键值大于当前节点的键值,如果当前节点没有右子树,则将新节点插入到当前节点的右子树,否则向右子树移动。
-
重复上述步骤,直到找到一个空位置,将新节点插入到该位置。
-
def insert(self, key):if self.root is None:self.root = TreeNode(key)else:self._insert(self.root, key)
def _insert(self, node, key):if key < node.key:if node.left is None:node.left = TreeNode(key)else:self._insert(node.left, key)elif key > node.key:if node.right is None:node.right = TreeNode(key)else:self._insert(node.right, key)
-
insert(key): 公开的插入方法。如果树为空,则创建一个新节点作为根节点;否则,调用 _insert 方法进行递归插入。
-
_insert(node, key): 递归插入方法。根据键值的大小,递归地在左子树或右子树中插入新节点。
2.4.3.4 查找节点
def search(self, key):return self._search(self.root, key)
def _search(self, node, key):if node is None or node.key == key:return nodeif key < node.key:return self._search(node.left, key)return self._search(node.right, key)
2.4.3.5 删除节点
删除逻辑:
1.递归查找待删除节点
-
如果待删除节点的键值小于当前节点的键值,递归地在左子树中查找并删除。
-
如果待删除节点的键值大于当前节点的键值,递归地在右子树中查找并删除。
2.找到待删除节点
删除操作的步骤可以分为以下几种情况:
-
待删除节点是叶子节点(没有子节点):直接删除该节点。
-
待删除节点只有一个子节点:用其子节点替换该节点。
-
待删除节点有两个子节点:
-
找到右子树中的最小节点(即后继节点)。
-
用后继节点的键值替换待删除节点的键值。
-
删除后继节点(后继节点要么是叶子节点,要么只有一个右子节点)。
-
假设我们有以下二叉搜索树:
50/ \30 70/ \ / \20 40 60 80
删除节点 20
-
找到键值为 20 的节点。
-
该节点是叶子节点,直接删除。
删除后的树:
50/ \30 70\ / \40 60 80
删除节点 30
-
找到键值为 30 的节点。
-
该节点有一个右子节点 40,用 40 替换 30。
删除后的树:
50/ \40 70/ \60 80
删除节点 50
-
找到键值为 50 的节点。
-
该节点有两个子节点,找到右子树中的最小节点 60(即后继节点)。
-
用 60 替换 50。
-
删除右子树中的 60。
删除后的树:
60/ \40 70\80
def delete(self, key):self.root = self._delete(self.root, key)
def _delete(self, node, key):if node is None:return node
if key < node.key:node.left = self._delete(node.left, key)elif key > node.key:node.right = self._delete(node.right, key)else:# 找到要删除的节点# 情况 1: 节点是叶子节点if node.left is None and node.right is None:return None# 情况 2: 节点只有一个子节点elif node.left is None:return node.rightelif node.right is None:return node.left# 情况 3: 节点有两个子节点temp = self._min_value_node(node.right)node.key = temp.keynode.right = self._delete(node.right, temp.key)
return node
def _min_value_node(self, node):current = nodewhile current.left is not None:current = current.leftreturn current
2.4.3.6 中序遍历
先遍历左子树,然后访问当前节点,最后遍历右子树。
def inorder_traversal(self):result = []self._inorder_traversal(self.root, result)return result
def _inorder_traversal(self, node, result):if node:self._inorder_traversal(node.left, result)result.append(node.key)self._inorder_traversal(node.right, result)
2.4.3.7 前序遍历
先访问根节点、然后遍历左子树、最后遍历右子树。
def preorder_search(self):result = []if self.root is None:return Noneself._preorder_search(self.root, result)return result
def _preorder_search(self,node,result):if node is None:return Noneresult.append(node.key)self._preorder_search(node.left,result)self._preorder_search(node.right,result)
