树的概念
- 有一个特殊的节点,称为根节点
- 子树之间不能有联系
- 每个节点有且仅有一个父节点
- 一棵 n 个节点的树由 n - 1 条边

节点的度: 一个节点含有的子树的个数为该节点的度
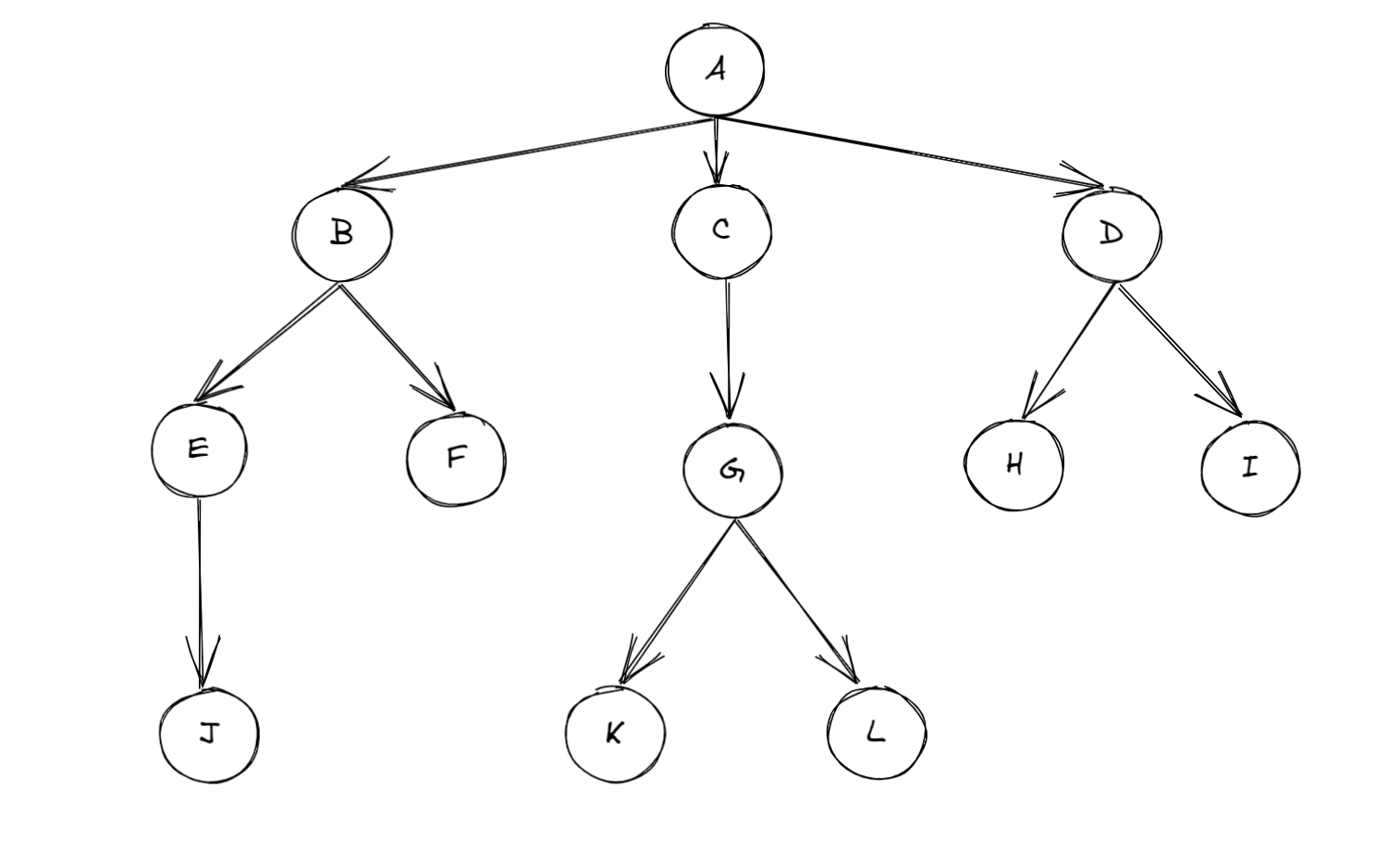
如图: A 的度为 3
叶节点或终端节点: 度为 0 的节点
如图: J、K、L、H、I都是叶节点
非终端节点或分支节点: 度不为 0 的节点
如图: E、G、D 等都是分支节点
双亲节点或父节点: 若一个节点有子节点,则这个节点称为其子节点的父节点
如图: E 是 J 的父节点
孩子节点或子节点: 一个节点含有的子树的根节点称为该节点的子节点
如图: J 是 E 的子节点
兄弟节点: 具有相同父节点的节点互称为兄弟节点
如图: E 和 F 是兄弟节点
树的度: 一颗树中最大的节点的度称为树的度
如图: 树的度为 3
树的层次: 从根开始,根节点为第一层,根的子节点为第二层,依次类推
树的高度或深度: 树中节点的最大高度
如图: 树的高度为 4
堂兄弟节点: 双亲在同一层的节点为堂兄弟节点
如图: F 和 G 为堂兄弟节点
祖先节点: 从根到该节点所经分支的所有节点
如图: G 的祖先节点为 C、A
子孙: 以某节点为根的子树中任意节点都称为该节点的子孙
如图: B 的子孙为 E、F、J
森林: 由 m 颗互补相交的树的集合叫森林 (并查集)
树是递归定义的,任何一颗树都包含根和 n 棵子树
例如 A 由B、C、D三棵子树构成,B由E、F两棵子树构成,E由J一棵子树构成,此时J已经是叶节点,不可再拆
树的定义
1. 明确了树的度为 N
#define N 4
struct TreeNode{int val;struct TreeNode* subs[N];
}
2. 没有明确树的度(顺序表)
struct TreeNode{int val;SeqList subs; //顺序表中存入 struct TreeNode*
}
3. 左孩子右兄弟(高手设计的结构)
struct TreeNode{int val;struct TreeNode* leftchild;struct TreeNode* rightbrother;
} 无论一个父亲节点由几个孩子,child 指向左边开始的第一个孩子,brother 则为 child 的亲兄弟

我们可以认为,windows 下面的文件系统就是个森林,C盘就是一棵树,D盘也是一棵树……
二叉树的概念
- 或者为空
- 有一个根节点加上两棵别成为左子树和右子树的二叉树
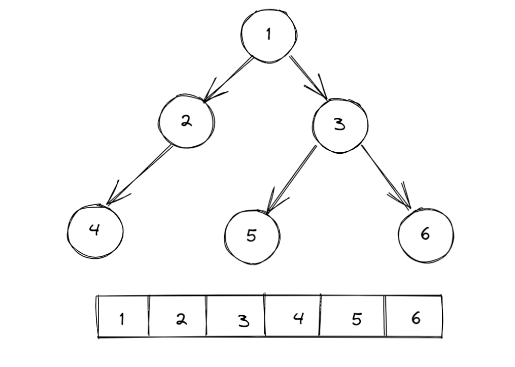
满二叉树: 一个二叉树,每一层节点数都达到了最大,若层数为 h ,则一共有 2^h - 1 个节点。
完全二叉树: 一个二叉树,前 h - 1 层是满的,最后一层不满,但从左到右是连续的
二叉树的存储方式
1. 顺序存储
我们可以用数组来存储满二叉树或完全二叉树中的数据,二叉树的逻辑结构是想象出来的,物理结构则是内存中实实在在存储的
用数组来存储的好处是可以用下标来寻找父子关系
假设一个父节点的下标是 i ,那左孩子节点的下标是 2 * i + 1,右孩子节点的下标是 2 * i + 2
假设一个子节点的下标是 j ,那父节点的下标是 (j - 1) / 2 。不用担心是左孩子还是右孩子,除法有取整的机制
但是使用数组只适用于满二叉树或完全二叉树,其他一般二叉树就必须把相应没有的位置空出来,但是不太方便,存在很多的空间浪费
未完待续……(接下来将介绍一种二叉树,堆)

