大纲
- 题目
- 地址
- 内容
- 解题
- 代码地址
题目
地址
https://leetcode.com/problems/invert-binary-tree/description/
内容
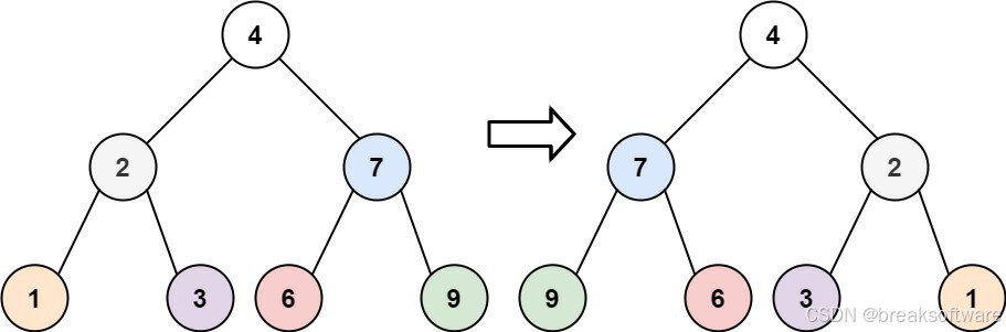
Given the root of a binary tree, invert the tree, and return its root.
Example 1:

Input: root = [4,2,7,1,3,6,9]
Output: [4,7,2,9,6,3,1]
Example 2:

Input: root = [2,1,3]
Output: [2,3,1]
Example 3:
Input: root = []
Output: []
Constraints:
- The number of nodes in the tree is in the range [0, 100].
- -100 <= Node.val <= 100
解题
这题就是要对树进行翻转,即左子树变成右子树、右子树变成左子树。
解法也很简单,就是使用递归思路,交换左右子树。

代码地址
https://github.com/f304646673/leetcode/blob/main/226-Invert-Binary-Tree/cplusplus/src/solution.hpp
