给你一棵二叉树的根节点 root ,翻转这棵二叉树,并返回其根节点。
示例 1:

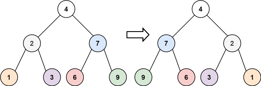
输入:root = [4,2,7,1,3,6,9]
输出:[4,7,2,9,6,3,1]
示例 2:

输入:root = [2,1,3]
输出:[2,3,1]
示例 3:
输入:root = []
输出:[]
提示:
- 树中节点数目范围在
[0, 100]内 -100 <= Node.val <= 100
思路:跟那个求二叉树最大深度可以一样,每层去遍历,一层一层去对应相应逻辑,可以去看看前一篇的思路,差不多
代码:C#
public class Solution {
public TreeNode InvertTree(TreeNode root) {
if(root==null)
return null;
Queue<TreeNode> queue=new Queue<TreeNode>();
queue.Enqueue(root);
while(queue.Count>0)
{
TreeNode node=queue.Dequeue();
//将左子树和右子树翻转
TreeNode temp=node.left;
node.left=node.right;
node.right=temp;
//把不为空的左子树或右子树存到队列中,来遍历这一层
if(node.left!=null)
{
queue.Enqueue(node.left);
}
if(node.right!=null)
{
queue.Enqueue(node.right);
}
}
return root;
}
}
