注:本文为 “线性代数 | 知识点整理” 相关文章合辑。
因 csdn 篇幅合并超限分篇连载,本篇为 Ref 2。
略作重排,未整理去重。
图片清晰度限于引文原状。
如有内容异常,请看原文。
【数学】线性代数知识点总结
阿巴 Jun 于 2024-11-11 16:58:05 发布
0. 前言
线性代数是数学的一个分支,线性代数的研究对象是向量、向量空间(又称线性空间),线性变换和有限维的线性方程组。即线性代数主要处理线性关系问题,线性关系即数学对象之间的关系是以一次形式来表达的。
线性(Linear)是指量与量之间按比例、成直线的关系,在数学上可以理解为一阶导数为常数的函数。
根据同济大学数学系编著的《线性代数》教材,将知识点按行列式、矩阵、向量组的线性相关性、相似矩阵及二次型、线性空间与线性变换五部分进行归纳总结。
1. 行列式
1.1 定义
矩阵的行列式,determinate(简称 det),是基于该矩阵的行列数据所计算的一个标量, n n n 阶行列式的几何意义是以 n n n 个向量为邻边的 n n n 维图形的体积。

注意:行列式的行数 = 列数,行列式引入求解线性方程组(后面将提到)。
1.2 性质
-
性质 1:行列互换,其值不变
即行列式与它的转置行列式的值相等, ∣ A ∣ = ∣ A T ∣ |A| = |A^T| ∣A∣=∣AT∣。
-
性质 2:行列式某行(列)的元素全为 0,行列式的值为 0。
几何上可以理解为该 n n n 阶行列式的值等于 n n n 维图形的体积,现在有一个维度(向量)长度为 0,则该图形这个维度上体积为 0。
放在定义式中,累加的每一项都是 0,因为累加的每一项是取自不同行不同列的 n n n 个元素乘积。
-
性质 3:行列式的某两行(列)元素相等或对应成比例,则行列式为零
几何上理解为组成 n n n 维图形的 n n n 个向量中,有两向量(边)在同一直线上,故在该图形这个维度上体积为 0。
在定义式中,成比例的项可以提出公因式,提出公因式后奇排列和偶排列的项会一一抵消(可以列一个简单的 3 阶行列式进行感受)。
-
性质 4:某行(列)所有的元素都是两个数的和,则可将其拆成两个行列式之和
如: ∣ a 1 + b 1 a 2 + b 2 a 3 + b 3 c 1 c 2 c 3 d 1 d 2 d 3 ∣ = ∣ a 1 a 2 a 3 c 1 c 2 c 3 d 1 d 2 d 3 ∣ + ∣ b 1 b 2 b 3 c 1 c 2 c 3 d 1 d 2 d 3 ∣ \left|\begin{array}{ccc} a_1 + b_1 & a_2 + b_2 & a_3 + b_3 \\ c_1 & c_2 & c_3 \\ d_1 & d_2 & d_3 \end{array}\right| = \left|\begin{array}{ccc} a_1 & a_2 & a_3 \\ c_1 & c_2 & c_3 \\ d_1 & d_2 & d_3 \end{array}\right| + \left|\begin{array}{ccc} b_1 & b_2 & b_3 \\ c_1 & c_2 & c_3 \\ d_1 & d_2 & d_3 \end{array}\right| a1+b1c1d1a2+b2c2d2a3+b3c3d3 = a1c1d1a2c2d2a3c3d3 + b1c1d1b2c2d2b3c3d3
理解这件事情需要从定义式入手。

定义式是多项的累加,而每项都包含不同行列的元素之积,这里的可拆其实就是定义式中进行乘法分配律。
注意:行列式拆是只拆某行(列),而矩阵 A + B A + B A+B 相加指的是所有元素相加。
-
性质 5:两行(列)互换,行列式的值反号
反号是因为奇偶排列发生了改变,要理解这一点从定义中行列式的定义式入手, j 1 j 2 ⋯ j n j_1 j_2 \cdots j_n j1j2⋯jn 是排列,当为偶排列时带正号,为奇排列时带负号,行列式行(列)互换,奇偶排列改变,行列式的值反号。
-
性质 6:某行(列)元素有公因子 k k k( k ≠ 0 k \neq 0 k=0),则 k k k 可提到行列式外面
要理解性质 6 需要和性质 5 一样从行列式的定义式入手,某行(列)的元素都有公因子,代表定义式中累加的每一项都有公因子,那么相当于将每一项的这个公因子 k k k 提取到外面。
注意:行列式只是某行(列)公因子提到外面,而矩阵是每一个元素的公因子提到外面。
-
性质 7:某行(列)的 k k k 倍加到另一行(列),行列式的值不变
从定义式入手,结合定理 4,可以将其 “乘法分配律”,之后拆成原来的行列式与被加那行(列)替换为 k k k 倍加的那行的行列式相加,再根据性质 3 的理解,知道被加那行(列)替换为 k k k 倍加的那行的行列式为 0。
1.3 行列式展开定理(公式)
1.3.1 余子式与代数余子式
-
定义:在 n n n 阶行列式中,划去元素 a i j a_{ij} aij 所在的 i i i 行与 j j j 列的元,剩下的元不改变原来的顺序所构成的 n − 1 n - 1 n−1 阶行列式称为元素 a i j a_{ij} aij 的余子式。数学表示上记作 M i j M_{ij} Mij。
如: ∣ a 11 a 12 a 13 a 21 a 22 a 23 a 31 a 32 a 33 ∣ \left|\begin{array}{ccc} a_{11} & a_{12} & a_{13} \\ a_{21} & a_{22} & a_{23} \\ a_{31} & a_{32} & a_{33} \end{array}\right| a11a21a31a12a22a32a13a23a33 中, a 22 a_{22} a22 的余子式 M 22 = ∣ a 11 a 13 a 31 a 33 ∣ M_{22} = \left|\begin{array}{cc} a_{11} & a_{13} \\ a_{31} & a_{33} \end{array}\right| M22= a11a31a13a33
-
而根据 M i j M_{ij} Mij 定义代数余子式 A i j = ( − 1 ) i + j M i j A_{ij} = (-1)^{i + j} M_{ij} Aij=(−1)i+jMij
则在上面行列式中 A 22 = ( − 1 ) 2 + 2 M 22 = ∣ a 11 a 13 a 31 a 33 ∣ A_{22} = (-1)^{2 + 2} M_{22} = \left|\begin{array}{cc} a_{11} & a_{13} \\ a_{31} & a_{33} \end{array}\right| A22=(−1)2+2M22= a11a31a13a33
-
引理:一个 n n n 阶行列式,如果其中第 i i i 行所有元素除 ( i , j ) (i, j) (i,j) 元 a i j a_{ij} aij 外都为零,那么这行列式等于 a i j a_{ij} aij 与它的代数余子式的乘积,即 D = a i j A i j D = a_{ij} A_{ij} D=aijAij
这一引理可以根据行列式的计算式推导(将 i i i 行和 j j j 列包含的含 0 项全部划掉,仅剩含 a i j a_{ij} aij 的项,提出 a i j a_{ij} aij 后剩下的为代数余子式)。
1.3.2 行列式按行(列)展开法则
-
定义:行列式等于它的任一行(列)的各元素与其对应的代数余子式乘积之和,即 D = a i 1 A i 1 + a i 2 A i 2 + ⋯ + a i n A i n D = a_{i1} A_{i1} + a_{i2} A_{i2} + \cdots + a_{in} A_{in} D=ai1Ai1+ai2Ai2+⋯+ainAin ( i = 1 , 2 , … , n ) (i = 1, 2, \ldots, n) (i=1,2,…,n) 或 D = a 1 j A 1 j + a 2 j A 2 j + ⋯ + a n j A n j D = a_{1j} A_{1j} + a_{2j} A_{2j} + \cdots + a_{nj} A_{nj} D=a1jA1j+a2jA2j+⋯+anjAnj ( j = 1 , 2 , … , n ) (j = 1, 2, \ldots, n) (j=1,2,…,n)。
这个法则可以根据引理与性质 4 或行列式计算式推导得到。
-
推论:行列式某一行(列)的元素与另一行(列)的对应元素的代数余子式乘积之和等于零,即 a i 1 A j 1 + a i 2 A j 2 + ⋯ + a i n A j n = 0 a_{i1} A_{j1} + a_{i2} A_{j2} + \cdots + a_{in} A_{jn} = 0 ai1Aj1+ai2Aj2+⋯+ainAjn=0 ( i ≠ j ) (i \neq j) (i=j) 或 a 1 i A 1 j + a 2 i A 2 j + ⋯ + a n i A n j = 0 a_{1i} A_{1j} + a_{2i} A_{2j} + \cdots + a_{ni} A_{nj} = 0 a1iA1j+a2iA2j+⋯+aniAnj=0 ( i ≠ j ) (i \neq j) (i=j)。
推论的证明根据性质 3:行列式的某两行(列)元素相等或对应成比例,则行列式为零。
2. 矩阵
2.1 定义
-
由 m × n m \times n m×n 个数 a i j ( i = 1 , 2 , … , m ; j = 1 , 2 , … , n ) a_{ij} (i = 1, 2, \ldots, m; \ j = 1, 2, \ldots, n) aij(i=1,2,…,m; j=1,2,…,n) 排成的 m m m 行 n n n 列的数表 a 11 a 12 ⋯ a 1 n a 21 a 22 ⋯ a 2 n ⋮ ⋮ ⋮ a m 1 a m 2 ⋯ a m n \begin{array}{cccc} a_{11} & a_{12} & \cdots & a_{1n} \\ a_{21} & a_{22} & \cdots & a_{2n} \\ \vdots & \vdots & & \vdots \\ a_{m1} & a_{m2} & \cdots & a_{mn} \end{array} a11a21⋮am1a12a22⋮am2⋯⋯⋯a1na2n⋮amn 称为 m m m 行 n n n 列矩阵,简称 m × n m \times n m×n 矩阵,记作 A = ( a 11 a 12 ⋯ a 1 n a 21 a 22 ⋯ a 2 n ⋮ ⋮ ⋮ a m 1 a m 2 ⋯ a m n ) A = \left( \begin{array}{cccc} a_{11} & a_{12} & \cdots & a_{1n} \\ a_{21} & a_{22} & \cdots & a_{2n} \\ \vdots & \vdots & & \vdots \\ a_{m1} & a_{m2} & \cdots & a_{mn} \end{array} \right) A= a11a21⋮am1a12a22⋮am2⋯⋯⋯a1na2n⋮amn 简记为 A = A m × n = ( a i j ) m × n = ( a i j ) A = A_{m \times n} = (a_{ij})_{m \times n} = (a_{ij}) A=Am×n=(aij)m×n=(aij)。
这 m × n m \times n m×n 个数称为矩阵 A A A 的元素,简称为元。元素是实数的矩阵称为实矩阵,元素是复数的矩阵称为复矩阵。
- 行数和列数都等于 n n n 的矩阵称为 n n n 阶矩阵或 n n n 阶方阵。
2.1.1 矩阵与行列式概念区分

2.1.2 矩阵与线性变换
线性变换与矩阵之间存在着一一对应关系

由于矩阵和线性变换之间存在一一对应的关系,因此可以利用矩阵来研究线性变换,也可以利用线性变换来解释矩阵的含义。
2.2 矩阵的运算
2.2.1 矩阵的加法
-
定义:设由两个 m × n m \times n m×n 矩阵 A = ( a i j ) A = (a_{ij}) A=(aij) 和 B = ( b i j ) B = (b_{ij}) B=(bij),那么矩阵 A A A 与 B B B 的和记作 A + B A + B A+B,规定为 A + B = ( a 11 + b 11 a 12 + b 12 ⋯ a 1 n + b 1 n a 21 + b 21 a 22 + b 22 ⋯ a 2 n + b 2 n ⋮ ⋮ ⋮ a m 1 + b m 1 a m 2 + b m 2 ⋯ a m n + b m n ) A + B = \left( \begin{array}{cccc} a_{11} + b_{11} & a_{12} + b_{12} & \cdots & a_{1n} + b_{1n} \\ a_{21} + b_{21} & a_{22} + b_{22} & \cdots & a_{2n} + b_{2n} \\ \vdots & \vdots & & \vdots \\ a_{m1} + b_{m1} & a_{m2} + b_{m2} & \cdots & a_{mn} + b_{mn} \end{array} \right) A+B= a11+b11a21+b21⋮am1+bm1a12+b12a22+b22⋮am2+bm2⋯⋯⋯a1n+b1na2n+b2n⋮amn+bmn 。
注意:只有两个矩阵 同型 时(行数等于行数、列数等于列数),这两个矩阵才能进行加法运算。
行列式加法是某行或某列加,矩阵是同型矩阵对应元素一一相加。
-
矩阵加法的运算规律
-
交换律: A + B = B + A A + B = B + A A+B=B+A
-
结合律: ( A + B ) + C = A + ( B + C ) (A + B) + C = A + (B + C) (A+B)+C=A+(B+C)
-
矩阵减法相当于: A − B = A + ( − B ) A - B = A + (-B) A−B=A+(−B)
其中 − B -B −B 称为 B B B 的负矩阵,有: B + ( − B ) = O B + (-B) = O B+(−B)=O
-
2.2.2 数与矩阵相乘
-
定义:数 λ \lambda λ 与矩阵 A A A 的乘积记作 λ A \lambda A λA 或 A λ A\lambda Aλ,规定为 λ A = A λ = ( λ a 11 λ a 12 ⋯ λ a 1 n λ a 21 λ a 22 ⋯ λ a 2 n ⋮ ⋮ ⋮ λ a m 1 λ a m 2 ⋯ λ a m n ) \lambda A = A\lambda = \left( \begin{array}{cccc} \lambda a_{11} & \lambda a_{12} & \cdots & \lambda a_{1n} \\ \lambda a_{21} & \lambda a_{22} & \cdots & \lambda a_{2n} \\ \vdots & \vdots & & \vdots \\ \lambda a_{m1} & \lambda a_{m2} & \cdots & \lambda a_{mn} \end{array} \right) λA=Aλ= λa11λa21⋮λam1λa12λa22⋮λam2⋯⋯⋯λa1nλa2n⋮λamn 。
行列式数乘是乘某行(列),矩阵数乘是乘每个元素。
-
矩阵数乘的运算规律
-
结合律: ( λ μ ) A = λ ( μ A ) (\lambda \mu) A = \lambda (\mu A) (λμ)A=λ(μA)
-
分配律: ( λ + μ ) A = λ A + μ A (\lambda + \mu) A = \lambda A + \mu A (λ+μ)A=λA+μA, λ ( A + B ) = λ A + λ B \lambda (A + B) = \lambda A + \lambda B λ(A+B)=λA+λB
-
2.2.3 矩阵与矩阵相乘
-
定义:设 A = ( a i j ) A = (a_{ij}) A=(aij) 是一个 m × s m \times s m×s 矩阵, B = ( b i j ) B = (b_{ij}) B=(bij) 是一个 s × n s \times n s×n 矩阵,那么规定矩阵 A A A 与矩阵 B B B 的乘积是一个 m × n m \times n m×n 矩阵 C = ( c i j ) C = (c_{ij}) C=(cij),其中 c i j = a i 1 b 1 j + a i 2 b 2 j + ⋯ + a i s b s j = ∑ k = 1 s a i k b k j c_{ij} = a_{i1} b_{1j} + a_{i2} b_{2j} + \cdots + a_{is} b_{sj} = \sum_{k=1}^{s} a_{ik} b_{kj} cij=ai1b1j+ai2b2j+⋯+aisbsj=∑k=1saikbkj ( i = 1 , 2 , … , m ; j = 1 , 2 , … , n ) (i = 1, 2, \ldots, m; \ j = 1, 2, \ldots, n) (i=1,2,…,m; j=1,2,…,n) 并把此乘积记作 C = A B C = AB C=AB。

显然,只有左矩阵的列数等于右矩阵的行数时,两个矩阵才能相乘。
-
矩阵乘法的运算规律
-
结合律: ( A B ) C = A ( B C ) (AB) C = A (BC) (AB)C=A(BC)
-
数乘的结合律: λ ( A B ) = ( λ A ) B = A ( λ B ) \lambda (AB) = (\lambda A) B = A (\lambda B) λ(AB)=(λA)B=A(λB)
-
分配律: A ( B + C ) = A B + A C A (B + C) = AB + AC A(B+C)=AB+AC, ( B + C ) A = B A + C A (B + C) A = BA + CA (B+C)A=BA+CA
-
单位矩阵再矩阵乘法中作用类似于数字 1: E m A m × n = A m × n E n = A E_m A_{m \times n} = A_{m \times n} E_n = A EmAm×n=Am×nEn=A
推论:矩阵乘法不一定满足交换律,但是纯量阵 λ E \lambda E λE 与任何同阶方阵都是可交换的,即: ( λ E n ) A n = λ A n = A n ( λ E n ) (\lambda E_n) A_n = \lambda A_n = A_n (\lambda E_n) (λEn)An=λAn=An(λEn)
-
2.2.4 矩阵的幂运算
-
定义:设 A A A 是 n n n 阶方阵,定义 A 1 = A A^1 = A A1=A, A 2 = A 1 A 1 A^2 = A^1 A^1 A2=A1A1,KaTeX parse error: Can't use function '\)' in math mode at position 6: \dots\̲)̲,A^{k + 1} = A^k A^1$,
其中 k k k 为正整数,显然只有方阵的幂才有意义。
-
矩阵的幂满足的运算规律
-
A k A l = A k + l A^k A^l = A^{k + l} AkAl=Ak+l
-
( A k ) l = A k l (A^k)^l = A^{kl} (Ak)l=Akl
-
2.2.5 矩阵的转置
-
定义:把矩阵 A A A 的行换成同序数的列得到的新矩阵,叫做 A A A 的 转置矩阵,记作 A T A^T AT。
注意:若 A = A T A = A^T A=AT,则将 A A A 称为 对称阵;若 A = − A T A = -A^T A=−AT,则将 A A A 称为 反对称阵。
-
转置矩阵的运算性质
-
( A T ) T = A (A^T)^T = A (AT)T=A
-
( A + B ) T = A T + B T (A + B)^T = A^T + B^T (A+B)T=AT+BT
-
( λ A ) T = λ A T (\lambda A)^T = \lambda A^T (λA)T=λAT
-
( A B ) T = B T A T (AB)^T = B^T A^T (AB)T=BTAT(穿脱原则)
-
2.2.6 方阵的行列式
-
定义:由 n n n 阶方阵 A A A 的元素所构成的行列式(各元素的位置不变),称为方阵 A A A 的行列式,记作 det A \det A detA 或 ∣ A ∣ |A| ∣A∣。
注意:方阵与行列式是两个不同概念, n n n 阶方阵是 n 2 n^2 n2 个数按一定方式排列成的 数表,而 n n n 阶行列式则是这个数表的数按一定的运算法则所确定的一个 数。
-
由 A A A 确定的 ∣ A ∣ |A| ∣A∣ 满足的运算规律
-
∣ A T ∣ = ∣ A ∣ |A^T| = |A| ∣AT∣=∣A∣(行列式性质 1)
-
∣ λ A ∣ = λ n ∣ A ∣ |\lambda A| = \lambda^n |A| ∣λA∣=λn∣A∣
-
∣ A B ∣ = ∣ A ∣ ∣ B ∣ |AB| = |A||B| ∣AB∣=∣A∣∣B∣
-
2.2.7 伴随矩阵
-
定义:行列式 ∣ A ∣ |A| ∣A∣ 的各个元素的代数余子式 ∣ A i j ∣ |A_{ij}| ∣Aij∣ 所构成的如下的矩阵 A ∗ = ( A 11 A 21 ⋯ A n 1 A 12 A 22 ⋯ A n 2 ⋯ ⋯ ⋯ ⋯ A 1 n A 2 n ⋯ A n n ) A^* = \left( \begin{array}{cccc} A_{11} & A_{21} & \cdots & A_{n1} \\ A_{12} & A_{22} & \cdots & A_{n2} \\ \cdots & \cdots & \cdots & \cdots \\ A_{1n} & A_{2n} & \cdots & A_{nn} \end{array} \right) A∗= A11A12⋯A1nA21A22⋯A2n⋯⋯⋯⋯An1An2⋯Ann 称为矩阵 A A A 的伴随矩阵。
-
伴随矩阵满足的性质:
A A ∗ = A ∗ A = ∣ A ∣ E AA^* = A^*A = |A|E AA∗=A∗A=∣A∣E
2.3 逆矩阵
2.3.1 定义
-
对于 n n n 阶矩阵 A A A,如果有一个 n n n 阶矩阵 B B B,使 A B = B A = E AB = BA = E AB=BA=E,则说矩阵 A A A 是可逆的,并把矩阵 B B B 称为 A A A 的逆矩阵,简称逆阵。
-
若矩阵 A A A 是可逆的,那么 A A A 的逆矩阵是唯一的。
-
A A A 的逆矩阵记作 A − 1 A^{-1} A−1,即若 A B = B A = E AB = BA = E AB=BA=E,则 B = A − 1 B = A^{-1} B=A−1。
2.3.2 相关定理
-
若矩阵 A A A 可逆,则 ∣ A ∣ ≠ 0 |A| \neq 0 ∣A∣=0
-
若 ∣ A ∣ ≠ 0 |A| \neq 0 ∣A∣=0,则矩阵 A A A 可逆,且 A − 1 = 1 ∣ A ∣ A ∗ A^{-1} = \frac{1}{|A|} A^* A−1=∣A∣1A∗
由定理 1 和 2 可知, A A A 是可逆矩阵的充分必要条件是 ∣ A ∣ ≠ 0 |A| \neq 0 ∣A∣=0,即可逆矩阵就是非奇异矩阵。
推论:
-
若 A B = E AB = E AB=E(或 B A = E BA = E BA=E),则 B = A − 1 B = A^{-1} B=A−1
-
如果 A A A、 B B B 为同阶矩阵且均可逆,则 A − 1 A^{-1} A−1、 A T A^T AT、 λ A \lambda A λA ( λ ≠ 0 \lambda \neq 0 λ=0) 与 A B AB AB 也可逆,且
( A − 1 ) − 1 = A (A^{-1})^{-1} = A (A−1)−1=A
( A T ) − 1 = ( A − 1 ) T (A^T)^{-1} = (A^{-1})^T (AT)−1=(A−1)T
( λ A ) − 1 = 1 λ A − 1 (\lambda A)^{-1} = \frac{1}{\lambda} A^{-1} (λA)−1=λ1A−1
( A B ) − 1 = B − 1 A − 1 (AB)^{-1} = B^{-1} A^{-1} (AB)−1=B−1A−1
2.4 矩阵的初等变换与线性方程组
2.4.1 矩阵的初等变换
-
定义:下面三种变换称为矩阵的初等行变换:
-
对换两行(对换 i i i, j j j 两行,记作 r i ↔ r j r_i \leftrightarrow r_j ri↔rj);
-
以数 k ≠ 0 k \neq 0 k=0 乘某一行中的所有元(第 i i i 行乘 k k k,记作 r i × k r_i \times k ri×k);
-
把某一行所有元的 k k k 倍加到另一行对应的元上去(第 j j j 行的 k k k 倍加到第 i i i 行上,记作 r i + k r j r_i + k r_j ri+krj).
把定义中的 “行” 换成 “列”,即得矩阵的初等列变换的定义(所用记号是把 “ r r r” 换成 “ c c c”)
矩阵的初等行变换与初等列变换,统称初等变换。
-
-
显然,三种初等变换都是 可逆 的,且其逆变换是同一类型的初等变换:
-
r i ↔ r j r_i \leftrightarrow r_j ri↔rj 的逆变换是其本身
-
r i × k r_i \times k ri×k 的逆变换是 r i × ( 1 k ) r_i \times (\frac{1}{k}) ri×(k1)(或记作 r i ÷ k r_i \div k ri÷k)
-
r i + k r j r_i + k r_j ri+krj 的逆变换为 r i + ( − k ) r j r_i + (-k) r_j ri+(−k)rj(或记作 r i − k r j r_i - k r_j ri−krj)
-
2.4.2 矩阵之间的等价关系
如果矩阵 A A A 经有限次初等行变换变成矩阵 B B B,就称矩阵 A A A 与 B B B 行等价,记作 A ∼ r B A \stackrel{r}{\sim} B A∼rB;如果矩阵 A A A 经有限次初等列变换变成矩阵 B B B,就称矩阵 A A A 与 B B B 列等价,记作 A ∼ c B A \stackrel{c}{\sim} B A∼cB;如果矩阵 A A A 经有限次初等变换变成矩阵 B B B,就称矩阵 A A A 与 B B B 等价,记作 A ∼ B A \sim B A∼B。


-
矩阵之间的等价关系具有下列性质:
-
反身性: A ∼ A A \sim A A∼A;
-
对称性:若 A ∼ B A \sim B A∼B,则 B ∼ A B \sim A B∼A;
-
传递性:若 A ∼ B A \sim B A∼B, B ∼ C B \sim C B∼C,则 A ∼ C A \sim C A∼C。
-
我们可以通过初等变换来将矩阵变换为 “阶梯形”,便于计算:



这些矩阵相互之间的关系可以用下图表示:

2.5 初等变换与矩阵乘法的关系
2.5.1 初等矩阵
-
定义:由单位矩阵 E E E 经过一次初等变换得到的矩阵称为 初等矩阵。其中三种初等变换对应有三种初等矩阵
-
把单位矩阵中第 i i i, j j j 两行对换(或第 i i i, j j j 两列对换)
-
以数 k ≠ 0 k \neq 0 k=0 乘单位矩阵的第 i i i 行(或第 i i i 列)
-
以 k k k 乘单位矩阵的第 j j j 行加到第 i i i 行上或以 k k k 乘单位矩阵的第 i i i 列加到第 j j j 列上
-
-
定理:设 A A A 与 B B B 为 m × n m \times n m×n 矩阵,那么
-
A ∼ r B A \stackrel{r}{\sim} B A∼rB 的充分必要条件是存在 m m m 阶可逆矩阵 P P P,使 P A = B PA = B PA=B;
-
A ∼ c B A \stackrel{c}{\sim} B A∼cB 的充分必要条件是存在 n n n 阶可逆矩阵 Q Q Q,使 A Q = B AQ = B AQ=B;
-
A ∼ B A \sim B A∼B 的充分必要条件是存在 m m m 阶可逆矩阵 P P P 及 n n n 阶可逆矩阵 Q Q Q,使 P A Q = B PAQ = B PAQ=B。
-
以上定理可以用初等矩阵与矩阵 A A A 左乘与右乘证得,同时引出下面定义。
2.5.2 初等变换与矩阵乘法
-
性质:设 A A A 是一个 m × n m \times n m×n 矩阵,对 A A A 施行一次初等行变换,相当于在 A A A 的左边乘相应的 m m m 阶初等矩阵;对 A A A 施行一次初等列变换,相当于在 A A A 的右边乘相应的 n n n 阶初等矩阵。

2.6 矩阵的秩
2.6.1 秩
-
定义:设在矩阵 A A A 中有一个不等于 0 的 r r r 阶子式 D D D,且所有 r + 1 r + 1 r+1 阶子式(如果存在的话)全等于 0,那么 D D D 称为矩阵 A A A 的最高阶非零子式,数 r r r 称为矩阵 A A A 的秩,记作 R ( A ) R(A) R(A)。并规定零矩阵的秩等于 0
矩阵 A A A 的秩就是 A A A 中非零子式的最高阶数
-
关于矩阵的秩有以下结论:

-
一般的矩阵,当行数和列数较高时,按定义求秩是很麻烦的,一个自然的想法是用初等变换将一般的矩阵化为行阶梯形矩阵,行阶梯形矩阵的秩就等于非零行的行数,而两个等价的矩阵的秩相等。
-
矩阵的秩的性质:

2.6.2 结合秩判断线性方程组的解

3. 向量组的线性相关性
3.1 向量组及其线性组合
-
向量定义:
n n n 个有次序的数 a 1 , a 2 , ⋯ , a n a_1, a_2, \cdots, a_n a1,a2,⋯,an 所组成的数组称为 n n n 维向量,这 n n n 个数称为该向量的 n n n 个分量,第 i i i 个数 a i a_i ai 称为第 i i i 个分量。
-
分量全为实数的向量称为实向量
-
分量为复数的向量称为复向量
-
向量分为行向量和列向量
-
向量组定义:若干个同维数的列向量(或同维数的行向量)所组成的集合叫做向量组。

-
定理:向量 b b b 能由向量组 A : a 1 , a 2 , ⋯ , a m A: a_1, a_2, \cdots, a_m A:a1,a2,⋯,am 线性表示的充分必要条件是矩阵 A = ( a 1 , a 2 , ⋯ , a m ) A = (a_1, a_2, \cdots, a_m) A=(a1,a2,⋯,am) 的秩等于矩阵 B = ( b 1 , b 2 , ⋯ , b m ) B = (b_1, b_2, \cdots, b_m) B=(b1,b2,⋯,bm) 的秩。


-
定理:向量组 B : b 1 , b 2 , ⋯ , b l B: b_1, b_2, \cdots, b_l B:b1,b2,⋯,bl 能由向量组 A : a 1 , a 2 , ⋯ , a m A: a_1, a_2, \cdots, a_m A:a1,a2,⋯,am 线性表示的充分必要条件是矩阵 A = ( a 1 , a 2 , ⋯ , a m ) A = (a_1, a_2, \cdots, a_m) A=(a1,a2,⋯,am) 的秩等于矩阵 ( A , B ) = ( a 1 , ⋯ , a m , b 1 , ⋯ , b l ) (A, B) = (a_1, \cdots, a_m, b_1, \cdots, b_l) (A,B)=(a1,⋯,am,b1,⋯,bl) 的秩,即 R ( A ) = R ( A , B ) R(A) = R(A, B) R(A)=R(A,B)
推论:向量组 A : a 1 , a 2 , ⋯ , a m A: a_1, a_2, \cdots, a_m A:a1,a2,⋯,am 与向量组 B : b 1 , b 2 , ⋯ , b l B: b_1, b_2, \cdots, b_l B:b1,b2,⋯,bl 等价的充分必要条件是 R ( A ) = R ( B ) = R ( A , B ) R(A) = R(B) = R(A, B) R(A)=R(B)=R(A,B)

3.2 向量组的线性相关性
-
定义:给定向量组 A : a 1 , a 2 , ⋯ , a m A: a_1, a_2, \cdots, a_m A:a1,a2,⋯,am,如果存在不全为零的数 k 1 , k 2 , ⋯ , k m k_1, k_2, \cdots, k_m k1,k2,⋯,km 使 k 1 a 1 + k 2 a 2 + ⋯ + k m a m = 0 k_1 a_1 + k_2 a_2 + \cdots + k_m a_m = 0 k1a1+k2a2+⋯+kmam=0,则称向量组 A A A 是线性相关的,否则称它线性无关。

-
线性相关与线性无关有其几何意义:

-
线性相关与线性无关的判断非常重要:


-
定理:

3.3 向量组的秩
-
定义:设有向量组 A A A,如果在 A A A 中能选出 r r r 个向量 a 1 , a 2 , ⋯ , a r a_1, a_2, \cdots, a_r a1,a2,⋯,ar 满足:
-
向量组 A 0 : a 1 , a 2 , ⋯ , a r A_0: a_1, a_2, \cdots, a_r A0:a1,a2,⋯,ar 线性无关;
-
向量组 A A A 中任意 r + 1 r + 1 r+1 个向量(如果 A A A 中有 r + 1 r + 1 r+1 个向量的话)都线性相关;
那么称向量组 A 0 A_0 A0 是向量组 A A A 的一个最大线性无关向量组,简称最大无关组。
最大无关组所含向量个数 r r r 称为向量组 A A A 的秩,记作 R A R_A RA。

-
3.4 线性方程组的解的结构

-
基础解系

-
解的关系

3.5 向量空间
3.5.1 向量空间定义
-
设 V V V 为 n n n 维向量的集合,如果集合 V V V 非空,且集合 V V V 对于向量的加法及数乘两种运算 封闭,那么就称集合 V V V 为向量空间。
-
所谓 封闭,是指在集合 V V V 中可以进行向量的加法以及数乘两种运算。具体地说,就是:若 a ∈ V a \in V a∈V, b ∈ V b \in V b∈V,则 a + b ∈ V a + b \in V a+b∈V;若 a ∈ V a \in V a∈V, λ ∈ R \lambda \in R λ∈R,则 λ a ∈ V \lambda a \in V λa∈V。
3.5.2 向量空间的基的概念

相对应的 坐标 概念:

4. 相似矩阵及二次型
4.1 向量的内积、长度及正交性
4.1.1 向量的内积

-
内积具有下列性质:
-
[ x , y ] = [ y , x ] [x, y] = [y, x] [x,y]=[y,x]
-
[ λ x , y ] = λ [ x , y ] [\lambda x, y] = \lambda [x, y] [λx,y]=λ[x,y]
-
[ x + y , z ] = [ x , z ] + [ y , z ] [x + y, z] = [x, z] + [y, z] [x+y,z]=[x,z]+[y,z]
-
当 x = 0 x = 0 x=0 时, [ x , x ] = 0 [x, x] = 0 [x,x]=0;当 x ≠ 0 x \neq 0 x=0 时, [ x , x ] > 0 [x, x] > 0 [x,x]>0
-
4.1.2 向量的长度

-
向量长度具有下列性质:
-
非负性:当 x ≠ 0 x \neq 0 x=0 时, ∣ ∣ x ∣ ∣ > 0 ||x|| > 0 ∣∣x∣∣>0;当 x = 0 x = 0 x=0 时, ∣ ∣ x ∣ ∣ = 0 ||x|| = 0 ∣∣x∣∣=0
-
齐次性: ∣ ∣ λ x ∣ ∣ = ∣ λ ∣ ∣ ∣ x ∣ ∣ ||\lambda x|| = |\lambda| ||x|| ∣∣λx∣∣=∣λ∣∣∣x∣∣
-
4.1.3 正交向量组
-
当 [ x , y ] = 0 [x, y] = 0 [x,y]=0 时,称向量 x x x 和向量 y y y 正交。

4.1.4 求规范正交基的方法
思路:基 $\Rightarrow) 正交基 $\Rightarrow) 规范正交基


4.1.5 正交矩阵及正交变换


4.2 方阵的特征值和特征向量

上面定义式可以进行以下推导:

特征值有以下相关结论:
设 n n n 阶矩阵 A = ( a i j ) A = (a_{ij}) A=(aij)

特征值与特征向量有以下定理:

4.3 相似矩阵


那么求相似变换矩阵 P P P,使 P − 1 A P = Λ P^{-1} AP = \Lambda P−1AP=Λ 为对角矩阵,这就称为把矩阵 A A A 对角化

4.4 对称矩阵的对角化


判断是否能够对角化:

对称矩阵对角化步骤:

4.5 二次型
4.5.1 二次型及其标准型


将二次型变成标准型:

4.5.2 矩阵合同

观察二次型的矩阵表示方式与合同的定义式,发现相同点。
4.5.3 化二次型为标准型


4.5.4 正定二次型



5. 线性空间与线性变换
5.1 线性空间的定义与性质


-
线性空间的性质:
-
零元素是唯一的,任意元素的负元素也是唯一的
-
如下等式成立: 0 ⋅ α = 0 0 \cdot \alpha = 0 0⋅α=0, ( − 1 ) ⋅ α = − α (-1) \cdot \alpha = -\alpha (−1)⋅α=−α


注意:一组向量要么线性相关要么线性无关,不存在第三种情况
-
5.2 维数、基与坐标


注意(基):

注意(坐标):

过渡矩阵:


5.3 坐标变换


5.4 线性变换
5.4.1 线性映射
-
概念:

线性映射概念:

相关性质:

5.4.2 线性映射的矩阵表示



5.4.2 线性变换的矩阵表示
线性变换概念:

线性变换的矩阵表示:



线性变换的运算:

线代知识点总结
dulu~dulu 已于 2024-12-17 11:39:53 修改
本节是线代某些知识点总结,可能较零碎。
对于简单的知识点,例如 “两行对应成比例,行列式为 0" 就不讲了。暂时不举例题,有时间会继续补充!
一 初等行 / 列变换
1. 计算行列式时,行列变换都可
因为 D = D T D = D^T D=DT,所以不论动行 / 列都是等价的。> 变换规则:>> 1.“倍乘”:行列式的某行 (列) 乘某个元素 k k k。相应的,若行列式中某行 (列) 元素有公因子 k k k ( k ≠ 0 k \neq 0 k=0),则 k k k 可提到行列式外面,即:>> ∣ k A ∣ = k n ∣ A ∣ |kA| = k^n |A| ∣kA∣=kn∣A∣ >> 2.“互换”:行列式中两行 (列) 互换,行列式变号。>> 3.“倍加”:某行 (列) 的 k k k 倍加到另一行 (列),行列式不变。
2. 求矩阵的秩时,行列变换都可
因为初等变换不改变某个矩阵非零子式的最高阶数,秩指的就是非零子式的最高阶数。> 初等变换的规则:>> 1.“倍乘”:一个非零常数乘矩阵矩阵的某一行 (列)。>> 2.“互换”:互换矩阵中某两行 (列) 的位置。>> 3.“倍加”:将矩阵的某一行 (列) 的 k k k 倍加到令一行 (列)。>>注意:>> 某矩阵乘元素 k k k,是矩阵中的每个元素都乘 k k k,要与行列式区分。>> 也就是 ∣ k A ∣ = k n ∣ A ∣ |kA| = k^n |A| ∣kA∣=kn∣A∣。
3. 解线性方程组时,仅能使用初等行变换
因为矩阵的每一种初等行变换都对应着线性方程组的同解变换,而作列变换会改变原来的方程。

4. 判定解的情况,单纯求 r ( A ) r(A) r(A), r ( A , b ) r(A, b) r(A,b) 的过程行列变换都可
注:将 r ( A , b ) r(A, b) r(A,b) 化行阶梯求秩时,往往我们需要 同时得到 r ( A ) r(A) r(A),如果想用列变换的话, 只能对 A A A 单独列变换,千万不要将 b b b 列和 A A A 的列混合运算,这样 r ( A ) r(A) r(A) 就不准了。(但 r ( A , b ) r(A, b) r(A,b) 是准的)。

但是,如果涉及到求通解或唯一解,那么就只能做行变换化行阶梯了,所以建议一开始就只做行变换。>总结:求解的过程,就只进行 初等行变换化行阶梯 求秩,并且顺势化为行最简型求解 。
5. 求向量组极大无关组、线性表出关系,则仅行变换**
因为初等行变换不改变列向量组的线性表出关系。例如下图, β \beta β 矩阵中, β 3 = β 2 + β 1 \beta_3 = \beta_2 + \beta_1 β3=β2+β1, α \alpha α 矩阵同样有这样的关系。

6. 求向量组的秩时,行列变换都可
求向量组的秩,其实最后会转化为求矩阵的秩,原理就是 “矩阵的秩 = 行向量组的秩 = 列向量组的秩”,所以求向量组的秩也是行列变换都可。

但是一般求向量组的秩后面会继续求解极大无关组 / 线性表出关系,这时只能做行变换,所以还是建议从开头就只使用行变换。
7. 求特征值时,行列变换都可
因为特征多项式本质上是行列式,求行列式时,行列都可以换。

8. 求特征向量时,仅做行变换
因为求特征向量时,本质是在解线性方程组,只能进行初等行变换。

9. 求逆矩阵时,对 ( A , E ) (A, E) (A,E) 仅做初等行变换
因为以 A − 1 A^{-1} A−1 左乘 A A A 得到 E E E,以 A − 1 A^{-1} A−1 左乘 E E E 得到 A − 1 A^{-1} A−1,以 A − 1 A^{-1} A−1 左乘的过程就是做初等行变换的过程。

所以怎么体现 A A A 和 E E E 做了完全一样的 A − 1 A^{-1} A−1 所带来的初等行变换,就是将 A A A, E E E 横着拼在一起,此时做的初等行变换就是同步的了。

总结:
除了① 求行列式的值(求特征值本质上就是求行列式的值)和 ② 单纯求秩,行列变换都可,其余情况通通只做行变换。
二 要牢记
先写那么多,后面有再补充:

一些推导:

对于 A B ≠ B A AB \neq BA AB=BA 的补充:

在 A B ≠ B A AB \neq BA AB=BA 的情况下,只能写成 ( A + B ) 2 = A 2 + A B + B A + B 2 (A + B)^2 = A^2 + AB + BA + B^2 (A+B)2=A2+AB+BA+B2

1. 矩阵的逆

推导如下:

初等矩阵的逆:

2. 矩阵的伴随

三 某某子式
1. 余子式
在 n n n 阶行列式中,去掉元素 a a a 所在的第 i i i 行、第 j j j 列元素,由剩下的元素按原来的位置与顺序组成的 n − 1 n - 1 n−1 阶行列式称为元素 a a a 的余子式,记作 M i j M_{ij} Mij。
2. 代数余子式
余子式 M i j M_{ij} Mij 乘 ( − 1 ) i + j (-1)^{i + j} (−1)i+j 后称为 a a a 的代数余子式,记作 A i j A_{ij} Aij

3. k k k 阶子式
给定一个矩阵,任取 k k k 行,任取 k k k 列,共 k 2 k^2 k2 个数构成的行列式,出现在矩阵的秩中,定义如下:
设 A A A 是 m × n m \times n m×n 矩阵,则若存在 k k k 阶子式不为零,而任意 k + 1 k + 1 k+1 阶子式(如果有的话)全为零,则 r ( A ) = k r(A) = k r(A)=k,且若 A A A 为 n × n n \times n n×n 矩阵,则:

4. k k k 阶主子式
指在行列式中选 k k k 行 k k k 列,但要求行和列的下标相同。如:行为 r 1 r_1 r1、 r 2 r_2 r2、 r 3 r_3 r3,列必须为 c 1 c_1 c1、 c 2 c_2 c2、 c 3 c_3 c3;行为 r 2 r_2 r2、 r 3 r_3 r3、 r 5 r_5 r5,列必须为 c 2 c_2 c2、 c 3 c_3 c3、 c 5 c_5 c5。因此, k k k 阶主子式不唯一。
这在矩阵相似会用到,下面会讲。
5. 顺序主子式
顺序主子式是在主子式上再加限定,顺序主子式是由 1~ k k k 行和 1~ k k k 列所确定的子式。>例如:>> 1 阶时:取第 1 行,第 1 列>> 2 阶时:取第 1、2 行,第 1、2 列>> 3 阶时:取第 1、2、3 行,第 1、2、3 列>> 4 阶时:取第 1、2、3、4 行,第 1、2、3、4 列>> 实际上,主子式的主对角线元素是原 n n n 阶行列式的主对角线元素的一部分,且顺序相同。>> 所以 k k k 阶主子式是不唯一的,而 k k k 阶顺序主子式是唯一的。
用在判断 二次型正定上,下面会讲。
四 矩阵的秩
① 0 ≤ r ( A ) ≤ min { m , n } 0 \leq r(A) \leq \min\{m, n\} 0≤r(A)≤min{m,n}
② r ( k A ) = r ( A ) r(kA) = r(A) r(kA)=r(A) ( k ≠ 0 k \neq 0 k=0)
③ r ( A B ) ≤ min { r ( A ) , r ( B ) } r(AB) \leq \min\{r(A), r(B)\} r(AB)≤min{r(A),r(B)}
④ r ( A + B ) ≤ r ( A ) + r ( B ) r(A + B) \leq r(A) + r(B) r(A+B)≤r(A)+r(B)
⑤

r ( A ) = n − 1 r(A) = n - 1 r(A)=n−1, r ( A ∗ ) = 1 r(A^*) = 1 r(A∗)=1 的证明:

进而可得出一个重要结论:> A m × n B n × s = 0 A_{m \times n} B_{n \times s} = 0 Am×nBn×s=0,则 r ( A ) + r ( B ) ≤ n r(A) + r(B) \leq n r(A)+r(B)≤n**
所以,看到 A × B A \times B A×B 就要想到两个结论:

⑥ 设 A A A 是 m × n m \times n m×n 矩阵, P P P, Q Q Q 分别是 m m m 阶, n n n 阶可逆矩阵,则> r ( A ) = r ( P A ) = r ( A Q ) = r ( P A Q ) r(A) = r(PA) = r(AQ) = r(PAQ) r(A)=r(PA)=r(AQ)=r(PAQ)
⑦ r ( A ) = r ( A T ) = r ( A A T ) = r ( A T A ) r(A) = r(A^T) = r(AA^T) = r(A^T A) r(A)=r(AT)=r(AAT)=r(ATA)
关于⑤的例题:

为什么 A x = b Ax = b Ax=b 有 n − r + 1 n - r + 1 n−r+1 个线性无关的解:

五 常用特征值与特征向量

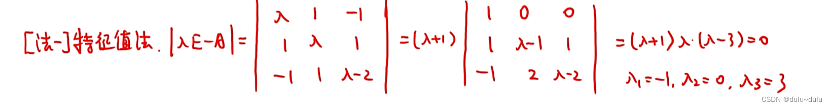
针对 P − 1 A P = B P^{-1} AP = B P−1AP=B,如果知道 B B B 的特征值和特征向量,想要反求 A A A 的特征值特征向量,结论:
特征值不变,特征向量为 P ξ P\xi Pξ
证明过程:

注意这样一道例题:




关于特征值的一些提示:

六 矩阵,向量组,方程组
矩阵,向量组
① 向量组是由有限个相同维数的行向量或者列向量组成,其中向量是由 n n n 个实数组成的有序数组,是一个 n × 1 n \times 1 n×1 的矩阵 ( n n n 维列向量) 或是一个 1 × n 1 \times n 1×n 的矩阵 ( n n n 维行向量)。
② 矩阵是由 m × n m \times n m×n 个数排列成 m m m 行 n n n 列的数表。
一个向量组可以看作是一个矩阵的列(或行)向量集合。如果一个矩阵有 n n n 列,那么这 n n n 列就可以看作是一个由 n n n 个向量组成的向量组。反过来,一个矩阵也可以看作是由其列(或行)向量组成的向量组。
1. 怎么判断两个矩阵等价
矩阵等价的前提: A A A 与 B B B 是 ** 同型 **矩阵,即 A A A, B B B 行数,列数相同>> 矩阵等价的 充要条件:
① r ( A ) = r ( B ) r(A) = r(B) r(A)=r(B)
② P A Q = B PAQ = B PAQ=B, P P P, Q Q Q 可逆
2. 怎么判断两个向量组是等价向量组
向量组等价的前提: A A A, B B B 矩阵 ** 同维 **>> 若 r ( Ⅰ ) = r ( Ⅱ ) = r ( Ⅰ , Ⅱ ) r(\text{Ⅰ}) = r(\text{Ⅱ}) = r(\text{Ⅰ}, \text{Ⅱ}) r(Ⅰ)=r(Ⅱ)=r(Ⅰ,Ⅱ)>> 向量组等价的 充要条件:
① r ( Ⅰ ) = r ( Ⅱ ) r(\text{Ⅰ}) = r(\text{Ⅱ}) r(Ⅰ)=r(Ⅱ),且 (Ⅰ) 可由 (Ⅱ) 线性表出(单向表出即可)
② r ( Ⅱ ) = r ( Ⅰ ) r(\text{Ⅱ}) = r(\text{Ⅰ}) r(Ⅱ)=r(Ⅰ),且 (Ⅱ) 可由 (Ⅰ) 线性表出(单向表出即可)
③ r ( Ⅰ ) = r ( Ⅱ ) r(\text{Ⅰ}) = r(\text{Ⅱ}) r(Ⅰ)=r(Ⅱ),且 (Ⅰ) 可由 (Ⅱ) 线性表出(单向表出即可)
④ r ( Ⅰ ) = r ( Ⅱ ) = r ( Ⅰ , Ⅱ ) r(\text{Ⅰ}) = r(\text{Ⅱ}) = r(\text{Ⅰ}, \text{Ⅱ}) r(Ⅰ)=r(Ⅱ)=r(Ⅰ,Ⅱ),即>> r ( Ⅰ ) = r ( Ⅱ ) = r ( Ⅰ , Ⅱ ) r(\text{Ⅰ}) = r(\text{Ⅱ}) = r(\text{Ⅰ}, \text{Ⅱ}) r(Ⅰ)=r(Ⅱ)=r(Ⅰ,Ⅱ)
⑤ Ⅰ 和 Ⅱ 能够相互线性表示。

总结
① 两个矩阵 A A A 与 B B B 等价指的是 A A A 可以通过有限次初等变换变成 B B B。两个不同型矩阵是不可能等价的。
② 两个向量组等价只指的是它们能够互相线性表示,它们各自所含向量的个数可能是不一样的。
③ 两个向量组等价,一个线性无关,另一个不一定线性无关。

例题:

D. 即使 Ⅰ 和 Ⅱ 同为 n n n 维向量组,但是 s s s 与 t t t 的关系未知,也就是行数相等,列数未知,所以 A A A, B B B 两个矩阵可能不同型,不能等价。>> B. (Ⅰ) 可由(Ⅱ)表示,缺少其他条件,如果 ① 加上 (Ⅱ) 可由 (Ⅰ) 线性表出 或者 ② r ( Ⅰ ) = r ( Ⅱ ) r(\text{Ⅰ}) = r(\text{Ⅱ}) r(Ⅰ)=r(Ⅱ) 就对了>> C 正确>> D r ( A ) = r ( B ) r(A) = r(B) r(A)=r(B),只能推出两个向量组秩相同,缺少其他条件,如果加上 ① 加上 (Ⅱ) 可由 (Ⅰ) 线性表出 或者 ② 加上 (Ⅰ ) 可由 (Ⅱ) 线性表出或者③ r ( Ⅰ ) = r ( Ⅱ ) = r ( Ⅰ , Ⅱ ) r(\text{Ⅰ}) = r(\text{Ⅱ}) = r(\text{Ⅰ}, \text{Ⅱ}) r(Ⅰ)=r(Ⅱ)=r(Ⅰ,Ⅱ),就对了。

3. 矩阵和向量等价的比较

例题:

A. ( α 1 , α 2 , α 3 , 0 \alpha_1 ,\alpha_2, \alpha_3 ,0 α1,α2,α3,0) 能与 ( α 1 , α 2 , α 3 \alpha_1 ,\alpha_2, \alpha_3 α1,α2,α3) 相互线性表示,但是 ( α 1 , α 2 , α 3 , 0 \alpha_1 ,\alpha_2, \alpha_3 ,0 α1,α2,α3,0) 不是 A x = 0 Ax=0 Ax=0 的基础解系>> B. 基础解系一定是线性无关的,但是 B 选项 3 个向量是线性相关的(3 个向量相加 = 0)>> C. 像上面举的例子一样,$ α 1 α 2 , \alpha_1\alpha_2, α1α2,\beta_1 \beta_2$ 等秩,但是 α 1 α 2 \alpha_1\alpha_2 α1α2 与 β 1 β 2 \beta_1 \beta_2 β1β2 不能相互线性表示。
D.
在 ( α 1 , α 2 , α 3 \alpha_1 ,\alpha_2, \alpha_3 α1,α2,α3) 的右边乘可逆矩阵,不改变原来矩阵的秩,且 ( β 1 , β 2 , β 3 \beta_1 ,\beta_2, \beta_3 β1,β2,β3 ) 与 ( α 1 , α 2 , α 3 \alpha_1 ,\alpha_2, \alpha_3 α1,α2,α3) 能相互线性表示>>所以,求 A x = 0 Ax=0 Ax=0 的另一个基础解析,需要满足与 ( α 1 , α 2 , α 3 \alpha_1 ,\alpha_2, \alpha_3 α1,α2,α3) 等价且等秩。

4. 同解方程组
若两个方程组 A m × n x = 0 A_{m \times n} x = 0 Am×nx=0 与 B s × n x = 0 B_{s \times n} x = 0 Bs×nx=0 有完全相同的解,则称它们为同解方程组
充要条件:
① A x = 0 Ax=0 Ax=0 的解满足 B x = 0 Bx=0 Bx=0,且 B x = 0 Bx=0 Bx=0 的解满足 A x = 0 Ax=0 Ax=0(互相把解代入求出结果即可)
② r ( A ) = r ( B ) r(A) = r(B) r(A)=r(B),且 A x = 0 Ax=0 Ax=0 的解满足 B x = 0 Bx=0 Bx=0(或 B x = 0 Bx=0 Bx=0 的解满足 A x = 0 Ax=0 Ax=0)
③ r ( A ) = r ( B ) = r ( [ A B ] ) r(A) = r(B) = r \left( \begin{bmatrix} A \\ B \end{bmatrix} \right) r(A)=r(B)=r([AB])(三秩相同)

如果是齐次线性方程组,那么 A A A, B B B 是同解方程组,若是非齐次那么就不对了。
例 1:

例 2:

例 3:

七 齐次线性方程组和非齐次线性方程组
齐次线性方程组有解的条件:
① r ( A ) = n r(A) = n r(A)=n 时,方程组有 唯一零解。
② r ( A ) = r < n r(A) = r < n r(A)=r<n 时,方程组有非零解(无穷多解),且有 n − r n - r n−r 个线性无关解>>齐次方程组其实就是解和系数的正交,例如,给你一个条件:
α 1 = 2 α 2 + α 3 \alpha_{1} = 2\alpha_{2} + \alpha_{3} α1=2α2+α3----> α 1 − 2 α 2 − α 3 + 0 α 4 = 0 \alpha_{1} - 2\alpha_{2} - \alpha_{3} + 0 \alpha_{4} = 0 α1−2α2−α3+0α4=0

则 ( 1 , − 2 , − 1 , 0 ) (1, -2, -1, 0) (1,−2,−1,0) 就是齐次方程组的基础解系
非齐次线性无关组有解的条件:
① 若 r ( 4 ) ≠ r ( [ A , b ] ) r(4) \neq r([A, b]) r(4)=r([A,b]),则方程组无解;
② 若 r ( A ) = r ( [ A , b ] ) = n r(A) = r([A, b]) = n r(A)=r([A,b])=n,则方程组有唯一解;
③ r ( A ) = r ( [ A , b ] ) = r < n r(A) = r([A, b]) = r < n r(A)=r([A,b])=r<n,则方程组有无穷多解。
非齐次方程组的通解的求法:
① 求 A x = 0 Ax = 0 Ax=0 的解
② 求 A x = b Ax = b Ax=b 的一个特解
③ 非齐次方程组的通解 = 齐次方程组的解 + 一个非齐次的特解

如果 A A A 行满秩,则 r ( A ) = r ( A ∣ b ) r(A) = r(A|b) r(A)=r(A∣b),那么方程组一定有解。
如果 A A A 列满秩,则 r ( A ) r(A) r(A) 与 r ( A ∣ b ) r(A|b) r(A∣b) 的关系不确定:
① r ( A ) < r ( A ∣ b ) r(A) < r(A|b) r(A)<r(A∣b),则无解
② r ( A ) = r ( A ∣ b ) < n r(A) = r(A|b) < n r(A)=r(A∣b)<n,有无穷多解
③ r ( A ) = r ( A ∣ b ) = n r(A) = r(A|b) = n r(A)=r(A∣b)=n,有唯一解
非齐次方程组解的性质:> 若 η 1 , η 2 , η 3 \eta_1, \eta_2, \eta_3 η1,η2,η3 是非齐次线性方程组 A x = b Ax = b Ax=b 的解, ξ \xi ξ 是对应齐次方程组 A x = 0 Ax = 0 Ax=0 的解,则:
(1) η 1 − η 2 \eta_1 - \eta_2 η1−η2 是 A x = 0 Ax = 0 Ax=0 的解;
(2) k ξ + η k\xi + \eta kξ+η 是 A x = b Ax = b Ax=b 的解
扩展:

解释:
- p p p 个解的任意组合,都是齐次线性方程组的解
- 非齐次的解线性组合也能得到齐次线性方程组的解,但是需要满足 k 1 + k 2 + ⋯ + k p = 0 k_1 + k_2 + \cdots + k_p = 0 k1+k2+⋯+kp=0,例如, α 1 − α 2 \alpha_1 - \alpha_2 α1−α2(1 - 1 = 0), α 1 − α 2 \alpha_1 - \alpha_2 α1−α2 就是齐次线性方程组的解。
- 非齐次的解线性组合也能得到非齐次线性方程组的解,但是需要满足 k 1 + k 2 + ⋯ + k p = 1 k_1 + k_2 + \cdots + k_p = 1 k1+k2+⋯+kp=1,例如, ( α 1 + α 2 ) / 2 (\alpha_1 + \alpha_2)/2 (α1+α2)/2,就是非齐次线性方程组的一个解。
- 齐次线性方程组的解与非齐次线性方程组的解相加,得到的是非齐次线性方程组的解。
- r ( A ) = r r(A) = r r(A)=r, A A A 就有 n − r n - r n−r 个线性无关的解,而 x 1 , x 2 , … , x n − r x_1, x_2, \ldots, x_{n - r} x1,x2,…,xn−r 刚好是 A x = 0 Ax = 0 Ax=0 的 n − r n - r n−r 个线性无关解,所以>> k 1 x 1 + k 2 x 2 + ⋯ + k n − r x n − r k_1 x_1 + k_2 x_2 + \cdots + k_{n - r} x_{n - r} k1x1+k2x2+⋯+kn−rxn−r 是 A x = 0 Ax = 0 Ax=0 的解。
例题:

A. α 1 − α 2 \alpha_1 - \alpha_2 α1−α2 是组合系数是 1 - 1 = 0, α 1 − α 2 \alpha_1 - \alpha_2 α1−α2 是 A x = 0 Ax = 0 Ax=0 的解
B. 3 α 1 − 2 α 2 3\alpha_1 - 2\alpha_2 3α1−2α2 是 A x = b Ax = b Ax=b 的解,C, D 同理。
八 对比记忆
1.

矩阵 A A A 的 tr ( A ) \text{tr}(A) tr(A): tra ( A ) = \text{tra}(A) = tra(A)= 矩阵 A A A 的迹 = = = 对角线元素之和
2. 对于秩为 1 的 n n n 阶矩阵 A A A 或 A = α β T A = \alpha \beta^T A=αβT(或 β T α \beta^T \alpha βTα)( α \alpha α, β \beta β 都是 n n n 维非零列向量),其特征值为 λ 1 = λ 2 = λ 3 = ⋯ = λ n − 1 = 0 \lambda_1 = \lambda_2 = \lambda_3 = \cdots = \lambda_{n - 1} = 0 λ1=λ2=λ3=⋯=λn−1=0, λ n = ∑ i = 1 n a i i = β T α \lambda_n = \sum_{i = 1}^{n} a_{ii} = \beta^T \alpha λn=∑i=1naii=βTα(或 α T β \alpha^T \beta αTβ)

3.

例题 1:

例题 2:

九 相似与正交
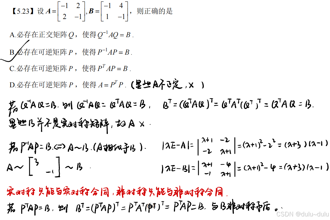
存在 n n n 阶可逆矩阵 P P P,使得 P − 1 A P = B P^{-1} AP = B P−1AP=B,则称 A A A 相似于 B B B,记为 A ∼ B A \sim B A∼B
若 A ∼ B A \sim B A∼B
① ∣ A ∣ = ∣ B ∣ |A| = |B| ∣A∣=∣B∣
② r ( A ) = r ( B ) r(A) = r(B) r(A)=r(B)
③ tr ( A ) = tr ( B ) \text{tr}(A) = \text{tr}(B) tr(A)=tr(B)
④ λ A = λ B \lambda_A = \lambda_B λA=λB( ∣ λ E − A ∣ = ∣ λ E − B ∣ |\lambda E - A| = |\lambda E - B| ∣λE−A∣=∣λE−B∣)
⑤ r ( λ E − A ) = r ( λ E − B ) r(\lambda E - A) = r(\lambda E - B) r(λE−A)=r(λE−B)
⑥ A A A, B B B 各阶主子式之和分别相同

也就是说, A A A 与 B B B 即使特征值相同,但也不一定相似。但是如果 A A A, B B B 都是实对称矩阵,那么相似,则一定特征值相同(实对称矩阵一定能相似对角化,特征值相同一定能相似于同一个对角矩阵,根据传递性 A ∼ B A \sim B A∼B)。
如何判定矩阵相似
① 定义法
存在 n n n 阶可逆矩阵 P P P,使得 P − 1 A P = B P^{-1} AP = B P−1AP=B
② 传递法
A ∼ Λ A \sim \Lambda A∼Λ, Λ ∼ B \Lambda \sim B Λ∼B,则 A ∼ B A \sim B A∼B,其中 Λ \Lambda Λ 为对角阵
这就要说到矩阵的相似对角化
矩阵可相似对角化的条件:
充要条件:
① n n n 阶矩阵 A A A 可相似对角化 ⇔ \Leftrightarrow ⇔ 有 n n n 个线性无关的特征向量。
② n n n 阶矩阵 A A A 可相似对角化 ⇔ \Leftrightarrow ⇔ A A A 对应于每个 k k k 重特征值都有 k k k 个线性无关的特征向量
必要条件:
③ n n n 阶矩阵 A A A 有 n n n 个不同特征值 ⇒ \Rightarrow ⇒ A A A 可相似对角化
④ n n n 阶矩阵为 实对称矩阵 ⇒ \Rightarrow ⇒ A A A 可相似对角化
对于矩阵相似对角化的步骤:
① 求特征值
② 求特征向量
③ 正交化(如果需要的话),单位化 η 1 , η 2 , η 3 , … , η n \eta_1, \eta_2, \eta_3, \ldots, \eta_n η1,η2,η3,…,ηn
④ 令 Q = [ η 1 , η 2 , η 3 , … , η n ] Q = [\eta_1, \eta_2, \eta_3, \ldots, \eta_n] Q=[η1,η2,η3,…,ηn],则 Q Q Q 为正交矩阵,且 Q − 1 A Q = Q T A Q = Λ Q^{-1} AQ = Q^T AQ = \Lambda Q−1AQ=QTAQ=Λ
上面提到了实对称矩阵,实对称矩阵就是组成 A A A 的元素都是实数。对于实对称矩阵( A T = A A^T = A AT=A)要记住:

对于正交,需要记住:
① α T β = 0 \alpha^T \beta = 0 αTβ=0,则 α \alpha α, β \beta β 是正交向量
② 若满足 A T A = E A^T A = E ATA=E,则 A A A 是正交矩阵
A T A = E ⇔ A − 1 = A T A^T A = E \Leftrightarrow A^{-1} = A^T ATA=E⇔A−1=AT
③ 若 A A A 为正交矩阵,则 A T A^T AT 为正交矩阵, A − 1 A^{-1} A−1 为正交矩阵, A ∗ A^* A∗ 为正交矩阵, − A -A −A 为正交矩阵
④ 若 A A A, B B B 为同阶正交矩阵,则 A B AB AB 为正交矩阵, A + B A + B A+B 不一定为正交矩阵
⑤ 若 A A A 为正交矩阵,则其特征值的取值范围为 { − 1 , 1 } \{-1, 1\} {−1,1}

在易错知识点有补充。
例题:

不可对角化的矩阵怎么判断相似:
例题:

如果 A A A 与 B B B 相似,那么:
对于任意实数 k k k 和整数 n n n,有 ( A + k E ) n (A + kE)^n (A+kE)n 与 ( B + k E ) n (B + kE)^n (B+kE)n 相似
对于上面这道题,取 k = − 1 k = -1 k=−1, n = 1 n = 1 n=1,判断哪两个矩阵相似。
矩阵相似还可得出:
① A ∼ B A \sim B A∼B, A k = B k A^k = B^k Ak=Bk, f ( A ) = f ( B ) f(A) = f(B) f(A)=f(B)
② 若 A ∼ B A \sim B A∼B,且 A A A 可逆,则 A − 1 ∼ B − 1 A^{-1} \sim B^{-1} A−1∼B−1, f ( A − 1 ) = f ( B − 1 ) f(A^{-1}) = f(B^{-1}) f(A−1)=f(B−1)
③ 若 A ∼ B A \sim B A∼B, A ∗ ∼ B ∗ A^* \sim B^* A∗∼B∗
④ 若 A ∼ B A \sim B A∼B, A T ∼ B T A^T \sim B^T AT∼BT

注:
提醒:

再次提醒,矩阵等价怎么判定:
设 A A A, B B B 均为 m × n m \times n m×n 矩阵,若存在可逆矩阵 P m × n P_{m \times n} Pm×n, Q m × n Q_{m \times n} Qm×n,使得 P A Q = B PAQ = B PAQ=B,则 A A A, B B B 是等价矩阵。若 A A A, B B B 是同型矩阵,则 A A A 与 B B B 等价的充分必要条件是 r ( A ) = r ( B ) r(A) = r(B) r(A)=r(B)
十 实对称矩阵
实对称矩阵中不同特征值对应的特征向量相互正交。

实对称矩阵可以用正交矩阵相似对角化,这是必然的。

要与合同区别,合同:对于实对称矩阵 A A A,必存在可逆矩阵 C C C,使得 C T A C = λ C^T A C = \lambda CTAC=λ, λ \lambda λ 对角矩阵,这里的 C C C 不是 A A A 的特征向量, λ \lambda λ 也不是 A A A 的特征值。
若普通矩阵能相似对角化,能不能用正交矩阵相似对角化?
对于 n n n 阶实对称矩阵, n n n 个线性无关的特征向量即使不正交,也可以通过施密特正交实现正交化,再单位化得到正交矩阵。那普通矩阵可以相似对角化,他也有 n n n 个线性无关的特征向量,其特征向量是否可以正交化,单位化,再用得到的正交矩阵 Q Q Q 进行相似对角化?
答案是否定的。

1. A A A 为 n n n 阶实对称矩阵的充分必要条件为: A A A 有 n n n 个正交的特征向量。

为什么不能是普通矩阵
例题:

2. A A A 为实对称矩阵的则 A ∗ A^* A∗ 为实对称矩阵,反过来不对。

十一 合同
设 A A A, B B B 为 n n n 阶矩阵,若存在可逆矩阵 C C C,使得 C T A C = B C^T A C = B CTAC=B,则称 A A A 与 B B B 合同,即 A ≅ B A \cong B A≅B。 A A A 与 B B B 合同,就是指同一个 二次型 在 可逆线性变换 下的两个不同状态的联系。



注:由于我们已经规定,对称矩阵才是二次型矩阵,所以二次型矩阵都是对称矩阵,相应的和对称矩阵合同的矩阵也是对称矩阵。
例题:




十二 二次型
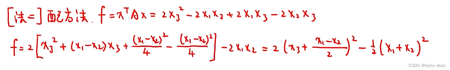
关于二次型化标准型或规范型的方法:配方法,正交变化有总结如下:

所以我们可以进一步得到
等价,合同和相似的关系:

注:相似一定合同的前提条件是 A A A, B B B 都是实对称矩阵

例题:




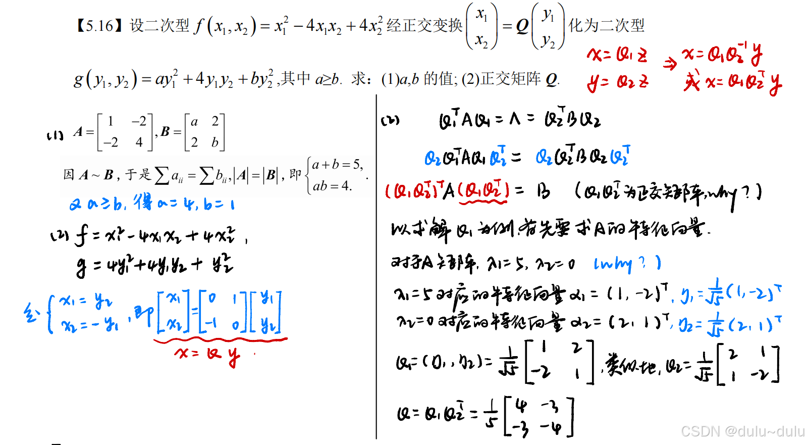
关于配方法和正交变换分别给一个例题:
配方法:

正交变换:


① 若 λ 1 = λ 2 \lambda_1 = \lambda_2 λ1=λ2,那么两个同一特征值对应的特征向量需要正交化,如果本来就正交可以不做这一步,所以在计算特征值的时候,可以将两个特征向量写为正交的,这样就免去了施密特正交化,直接进入单位化即可。
② λ 1 ≠ λ 2 ≠ λ 3 \lambda_1 \neq \lambda_2 \neq \lambda_3 λ1=λ2=λ3,那么不用进行施密特正交,直接单位化即可。
常见题型:


这里记录一个例题:


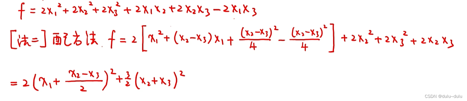
若二次型中只有混合项,没有平方项,要怎么做?

两类典型大题:【线代救命 #6】一个视频彻底搞懂二次型 !!_哔哩哔哩_bilibili
如果两个矩阵相似,那么可以直接用标准型作为桥梁,无需化为规范型:

如果两个矩阵不相似,那么只能用规范型作为桥梁,因为两个矩阵合同,规范型是唯一的:

十三 二次型正定
二次型正定的充要条件:
n n n 元二次型 f = x T A x f = x^T A x f=xTAx 正定 ⇔ \Leftrightarrow ⇔ 对任意 x ≠ 0 x \neq 0 x=0,有 x T A x > 0 x^T A x > 0 xTAx>0(定义)
① ⇔ \Leftrightarrow ⇔ f f f 的正惯性指数 p = n p = n p=n
② ⇔ \Leftrightarrow ⇔ 存在可逆矩阵 D D D,使得 A = D T D A = D^T D A=DTD
③ ⇔ \Leftrightarrow ⇔ A ≅ E A \cong E A≅E, A A A 与 E E E 合同
② ③ 推导:

④ ⇔ \Leftrightarrow ⇔ A A A 的特征值 λ > 0 \lambda > 0 λ>0
⑤ ⇔ \Leftrightarrow ⇔ A A A 的全部顺序主子式 > 0
二次型正定的必要条件:
① a i i > 0 a_{ii} > 0 aii>0,对角线元素全部大于 0
② ∣ A ∣ > 0 |A| > 0 ∣A∣>0
最好是使用充要条件 ① ④ ⑤ 判断二次型是否正定,如果非要用定义法,来看个例题:

注意上题,不能直接将 f f f 判定为正定:
因为将二次型化为标准型的过程一定要做可逆线性变换

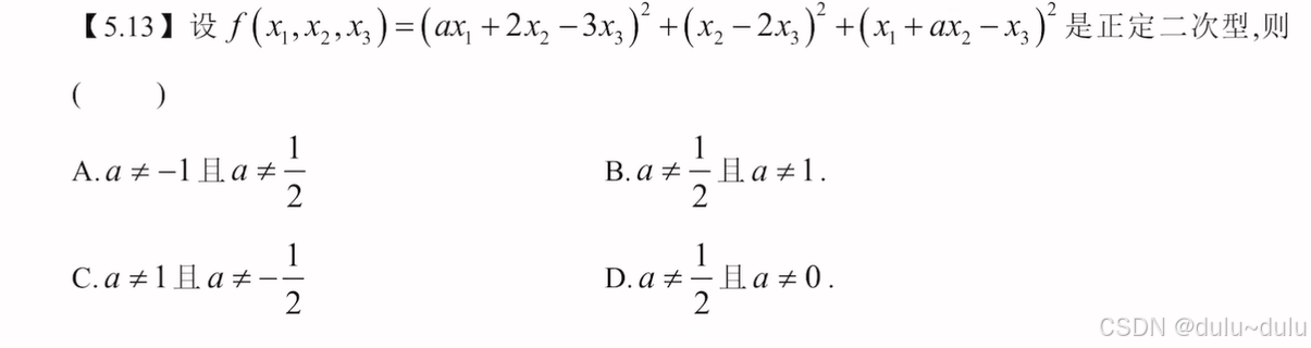
例题 1:


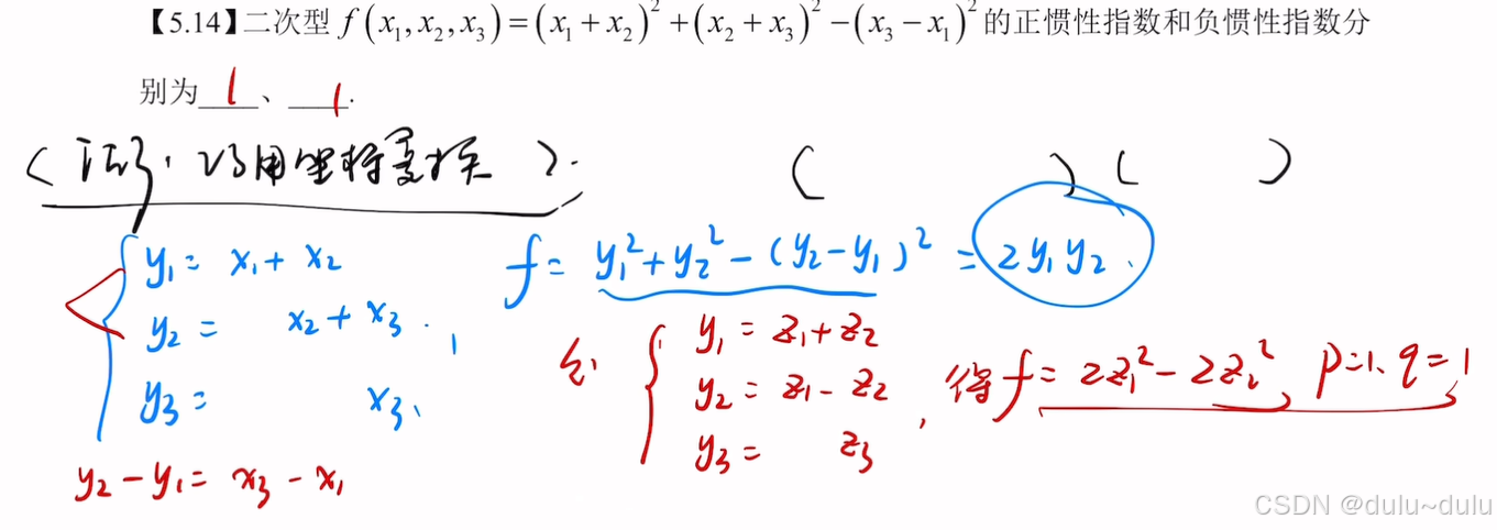
例题 2:




看到这种平方和形式的二次型,要想到他一些性质:
平方和形式的二次型(重要):


例题:

答案 C,由于二次型矩阵正定,则 r ( B ) r(B) r(B) 满秩,进而推出 ∣ B ∣ ≠ 0 |B| \neq 0 ∣B∣=0

注意一定要是平方和,下面这个就不是,就只能用开头讲的特征值法,配方法和合同变换:

关于正定的重要结论:


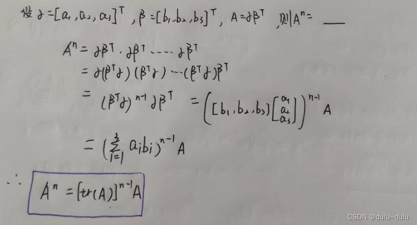
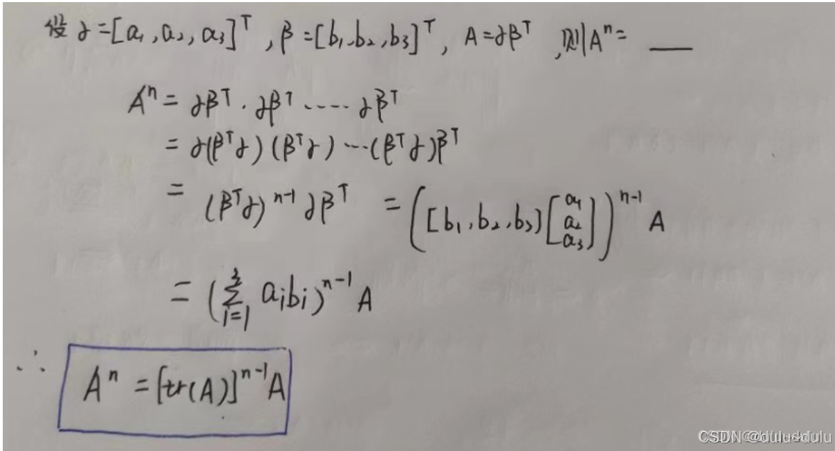
十四 秩 1 矩阵的性质(重要)
假设 A A A 是一个秩为 1 的矩阵, α \alpha α 与 β \beta β 为列向量,且 α β T = β α T = A \alpha \beta^T = \beta \alpha^T = A αβT=βαT=A
1. 如果一个矩阵能由一个列向量 × \times × 一个行向量表示,那么这个矩阵秩一定为 1,即 r = 1 r = 1 r=1。同样,一个秩为 1 的矩阵,可以拆成一个列向量 × \times × 一个行向量,并且表示方法不唯一。

2. 矩阵 A A A 的迹(对角线的和)= α T β = β T α \alpha^T \beta = \beta^T \alpha αTβ=βTα,也就是内积
同时, ∣ A ∣ = |A| = ∣A∣= 对角线元素的乘积
3. A A A 的特征值为 λ 1 = tr ( A ) \lambda_1 = \text{tr}(A) λ1=tr(A),其余特征值全部为 0
4. A A A 的特征向量:
对于 λ 1 = tr ( A ) \lambda_1 = \text{tr}(A) λ1=tr(A) 对应的特征向量:
A = β α T A = \beta \alpha^T A=βαT --> A β = β α T β = tr ( A ) ⋅ β A\beta = \beta \alpha^T \beta = \text{tr}(A) \cdot \beta Aβ=βαTβ=tr(A)⋅β,所以 λ 1 = tr ( A ) \lambda_1 = \text{tr}(A) λ1=tr(A),特征向量为 k β k\beta kβ, k ≠ 0 k \neq 0 k=0
也就是说 λ 1 = tr ( A ) \lambda_1 = \text{tr}(A) λ1=tr(A) 对应的特征向量是组成 A A A 矩阵前面的列向量。
对于 λ = 0 \lambda = 0 λ=0 对应的特征向量:
A α = λ α A\alpha = \lambda \alpha Aα=λα --> A α = 0 A\alpha = 0 Aα=0,即求 A X = 0 AX = 0 AX=0 的齐次解,就是 λ = 0 \lambda = 0 λ=0 对应的特征向量

5. tr ( A ) \text{tr}(A) tr(A) 是 1 重特征值,0 是 n − 1 n - 1 n−1 重特征值
① tr ( A ) ≠ 0 \text{tr}(A) \neq 0 tr(A)=0, r ( A ) = n − r = n − 1 r(A) = n - r = n - 1 r(A)=n−r=n−1,所以当 tr ( A ) ≠ 0 \text{tr}(A) \neq 0 tr(A)=0 时,秩 1 矩阵一定能相似对角化
② tr ( A ) = 0 \text{tr}(A) = 0 tr(A)=0,这时 0 是 n n n 重特征值:
r ( A ) = n − r = n − 1 ≠ n r(A) = n - r = n - 1 \neq n r(A)=n−r=n−1=n,所以不能相似对角化
6. A n = tr ( A ) n − 1 A A^n = \text{tr}(A)^{n - 1} A An=tr(A)n−1A

例题 1:

例题 2:

补充:其他特殊矩阵
幂零矩阵:3 阶矩阵: A 3 = 0 A^3 = 0 A3=0,4 阶矩阵: A 4 = 0 A^4 = 0 A4=0




十五 关于 a B + B a aB + Ba aB+Ba(重要)


十六 同解和向量组等价


首先排除 A, C,只有行向量才和方程组的解有关系。由于 A 可由 B 线性表出,B 更具有代表性,约束更多,D 正确。

注:列向量组等价不能推出同解,行向量组等价才能推出同解。经过列变换,列向量组等价,但此时方程组的结构已经发生改变,所以解方程组只能行变换。
行向量组等价是向量组等价与方程通解的桥梁。


24 年数二:

由方程组 A x = 0 Ax = 0 Ax=0 的解均是 B T x = 0 B^T x = 0 BTx=0 的解,得 A x = 0 Ax = 0 Ax=0 与 [ A B T ] \begin{bmatrix} A \\ B^T \end{bmatrix} [ABT] x = 0 x = 0 x=0 通解。利用 r ( A ) = r ( [ A B T ] ) r(A) = r \left( \begin{bmatrix} A \\ B^T \end{bmatrix} \right) r(A)=r([ABT]) 就很好做
十七 从 A A A —> A − 1 A^{-1} A−1 原理
A A A 和 E E E 同时做初等行变换,在 A A A 化作 E E E 的同时, E E E 变为 A − 1 A^{-1} A−1

例题:


A A A 经过一系列初等行变换可变为下三角矩阵,而变化的过程就被记录在了画圈圈的部分,即画圈圈部分为 P P P

再经过初等列变换,可使 P A Q PAQ PAQ 为对角矩阵
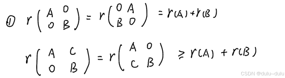
十八 分块矩阵的初等变换
① 
② 做行变换时左乘,做列变换时右乘。
③

例题:




十九 看到就要想到

对于(1)补充一点,记住即可。

(4)的证明如下:

补充:
1.
A i j = a i j A_{ij} = a_{ij} Aij=aij --> A T = A A^T = A AT=A


A i j + a i j = 0 A_{ij} + a_{ij} = 0 Aij+aij=0 --> A T = − A A^T = -A AT=−A

除此之外,还能得到 A A A 是一个正交矩阵:


① P T A P = B P^T A P = B PTAP=B,所以 A A A 与 B B B 一定等价,且合同
② 看了上面,这里不告诉我们 P P P 可逆,我们也应该知道 P P P 矩阵可逆。 P T = P ∗ P^T = P^* PT=P∗, P P P 是正交阵,所以 A A A 与 B B B 相似。
2.
以下两题来自:
【线代救命 #5】一个视频带你拿捏矩阵相似,出题老头汗流浃背!_哔哩哔哩_bilibili

看这题需要直到,正交矩阵 Q Q Q 的特征值只能是 1 或 -1({-1,1})

3.
求 A ∗ x = 0 A^* x = 0 A∗x=0 的全部解:

对应这道题:

4. A A A 与 A T A^T AT 特征值不同,特征向量正交(重要)

相似地,可以证明 实对称矩阵不同特征值对应的特征向量相互正交。

5. A A A 可相似对角化

答案:D

6. A B AB AB 与 B A BA BA 的非零特征值相同。

由于 A B AB AB 与 B A BA BA 的非零特征值相同,所以 A B AB AB 的其中两个特征值为 1,1
又因为:

所以答案:1,1,0
二十 易错


分块矩阵

分块矩阵转置

分块矩阵求逆:副对角线求逆,分别求逆,并且对调

主副对角线求逆:

二阶求伴随:主对调,副变号

这里应该是 A B = 0 AB = 0 AB=0 不能推出 A = 0 A = 0 A=0 或 B = 0 B = 0 B=0

做题常犯错误:

-
虽然 A T A^T AT 的特征值与 A A A 相同,但特征向量不再是 ξ \xi ξ,要单独计算才能得出,要求 A T A^T AT 的特征值,只能先将 A A A 转置,然后再求特征值。

但是有一个性质:
A T A^T AT 与 A A A 属于不同特征值的特征向量正交。

-
λ 2 = 1 \lambda^2 = 1 λ2=1, λ = ± 1 \lambda = \pm 1 λ=±1,只能说 A A A 的特征值取值范围是 ${1, -1})

所以进一步可以解释这一段:
若 A A A 为正交矩阵,则其特征值的取值范围为 ${-1, 1})

25 合工大卷五 9:

答案:B
补充:
反对称矩阵的性质

Ref 1 / 3
-
线性代数 | 知识点整理 Ref 1-CSDN博客
https://blog.csdn.net/u013669912/article/details/147263380 -
线性代数 | 知识点整理 Ref 3-CSDN博客
https://blog.csdn.net/u013669912/article/details/147253667
via:
-
【数学】线性代数知识点总结-CSDN博客
https://blog.csdn.net/weixin_52924460/article/details/142375463 -
线代知识点总结_线性代数-CSDN博客
https://blog.csdn.net/weixin_69884785/article/details/139663333

