在图G中,假设 v i v_{i} vi和 v j v_{j} vj为图中的两个顶点,那么 v i v_{i} vi到 v j v_{j} vj路径上所经过边的权值之和就称为带权路径⻓度。
由于 v i v_{i} vi到 v j v_{j} vj的路径可能有多条,将带权路径⻓度最短的那条路径称为最短路径。
最短路⼀般分为两类:
- 单源最短路,即图中⼀个顶点到其它各顶点的最短路径。
- 多源最短路,即图中每对顶点间的最短路径
![![[Pasted image 20250416101744.png]]](https://i-blog.csdnimg.cn/direct/d49a3fe575534780bca1020130f3701f.png)
常规版dijkstra算法
Dijkstra算法是基于贪⼼思想的单源最短路算法,求解的是"⾮负权图"上单源最短路径
![![[Pasted image 20250416101815.png]]](https://i-blog.csdnimg.cn/direct/e02b0f31bfbe4484942f9b63db664bb0.png)
常规版dijkstra算法流程:
- 准备⼯作:
- 创建⼀个⻓度为 n 的 dist 数组,其中
dist[i]表⽰从起点到 i 结点的最短路; - 创建⼀个⻓度为 n 的 bool 数组 st ,其中
st[i]表⽰ i 点是否已经确定了最短路。
- 创建⼀个⻓度为 n 的 dist 数组,其中
- 初始化:
dist[1] = 0,其余结点的 dist 值为⽆穷⼤,表⽰还没有找到最短路。 - 重复:在所有没有确定最短路的点中,找出最短路⻓度最⼩的点 u 。打上确定最短路的标记,然后对 u 的出边进⾏松弛操作;
- 重复上述操作,直到所有点的最短路都确定
P3371 【模板】单源最短路径(弱化版) - 洛谷
#include <bits/stdc++.h>
using namespace std;typedef pair<int, int> PII;
typedef long long LL;const int N = 1e4 + 10, INF = 2147483647;int n, m, s;
vector<PII> edges[N];LL dist[N];
bool st[N];void dijkstra()
{//初始化for (int i = 0; i <= n; i++) dist[i] = INF;dist[s] = 0;for (int i = 1; i < n; i++){//找出没有确定最短路的点中,当前最短路最小的点int a = 0;for (int j = 1; j <= n; j++)if (!st[j] && dist[j] < dist[a])a = j;//打上标记,松弛st[a] = true;for (auto& t : edges[a]){int b = t.first, c = t.second;if (dist[a] + c < dist[b]){dist[b] = dist[a] + c;}}}for (int i = 1; i <= n; i++) cout << dist[i] << " ";
}int main()
{ios::sync_with_stdio(false);cin.tie(0);cin >> n >> m >> s;for (int i = 1; i <= m; i++){int u, v, w; cin >> u >> v >> w;edges[u].push_back({v, w});}dijkstra();return 0;
}
堆优化版dijkstra算法
在常规版的基础上,⽤优先级队列去维护待确定最短路的结点。
堆优化版的dijkstra算法流程:
- 准备⼯作:
- 创建⼀个⻓度为 n 的 dist 数组,其中
dist[i]表⽰从起点到 i 结点的最短路; - 创建⼀个⻓度为 n 的 bool 数组 st ,其中
st[i]表⽰ i 点是否已经确定了最短路; - 创建⼀个⼩根堆,维护更新后的结点。(也就是需要确定最短路的结点)
- 创建⼀个⻓度为 n 的 dist 数组,其中
- 初始化:
dist[1] = 0,然后将 {0, s} 加到堆⾥;其余结点的 dist 值为⽆穷⼤,表⽰还没有找到最短路。 - 重复:弹出堆顶元素,如果该元素已经标记过,就跳过;如果没有标记过,打上标记,进⾏松弛操作。
- 重复上述操作,直到堆⾥⾯没有元素为⽌
P4779 【模板】单源最短路径(标准版) - 洛谷
#include <bits/stdc++.h>
using namespace std;typedef pair<int, int> PII;const int N = 1e5 + 10;int n, m, s;
vector<PII> edges[N];int dist[N];
bool st[N];priority_queue<PII, vector<PII>, greater<PII>> heap;void dijkstra()
{//初始化memset(dist, 0x3f, sizeof dist);dist[s] = 0;heap.push({0, s});while (heap.size()){auto t = heap.top(); heap.pop();int a = t.second;if (st[a]) continue;st[a] = true;for (auto& x : edges[a]){int b = x.first, c = x.second;if (dist[a] + c < dist[b]){dist[b] = dist[a] + c;heap.push({dist[b], b});}}}for (int i = 1; i <= n; i++) cout << dist[i] << " ";
}int main()
{ios::sync_with_stdio(false);cin.tie(0);cin >> n >> m >> s;for (int i = 1; i <= m; i++){int a, b, c; cin >> a >> b >> c;edges[a].push_back({b, c});}dijkstra();return 0;
}
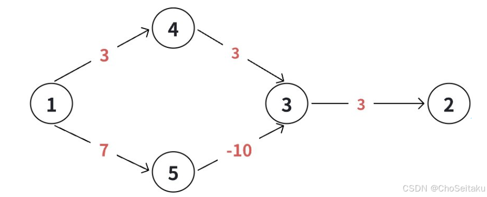
bellman-ford算法
Bellman‒Ford算法(之后简称BF算法)是⼀种基于松弛操作的最短路算法,可以求出有负权的图的最短路,并可以对最短路不存在的情况进⾏判断。
算法核⼼思想:不断尝试对图上每⼀条边进⾏松弛,直到所有的点都⽆法松弛为⽌
![![[Pasted image 20250416124850.png]]](https://i-blog.csdnimg.cn/direct/211aac2972704faabf3ee0f75a627c59.png)
Bellman‒Ford算法流程:
- 准备⼯作:
- 创建⼀个⻓度为 n 的 dist 数组,其中
dist[i]表⽰从起点到 i 结点的最短路。
- 创建⼀个⻓度为 n 的 dist 数组,其中
- 初始化:
dist[1] = 0,其余结点的 dist 值为⽆穷⼤,表⽰还没有找到最短路。 - 重复:每次都对所有的边进⾏⼀次松弛操作。
- 重复上述操作,直到所有边都不需要松弛操作为⽌
最多重复多少轮松弛操作?
在最短路存在的情况下,由于⼀次松弛操作会使最短路的边数⾄少增加1,⽽最短路的边数最多为n-1。因此整个算法最多执⾏轮松弛操作n-1轮。故总时间复杂度为O(nm)
#include <bits/stdc++.h>
using namespace std;typedef pair<int, int> PII;
typedef long long LL;const int N = 1e4 + 10, INF = 2147483647;int n, m, s;
vector<PII> edges[N];LL dist[N];void bf()
{//初始化for (int i = 0; i <= n; i++) dist[i] = INF;dist[s] = 0;bool flg = false;for (int i = 1; i < n; i++){flg = false;for (int u = 1; u <= n; u++){if (dist[u] == INF) continue;for (auto& t : edges[u]){int v = t.first, w = t.second;if (dist[u] + w < dist[v]){dist[v] = dist[u] + w;flg = true;}}}if (flg == false) break;}for (int i = 1; i <= n; i++) cout << dist[i] << " ";
}int main()
{ios::sync_with_stdio(false);cin.tie(0);cin >> n >> m >> s;for (int i = 1; i <= m; i++){int a, b, c; cin >> a >> b >> c;edges[a].push_back({b, c});}bf();return 0;
}
spfa算法
spfa即Shortest Path Faster Algorithm,本质是⽤队列对BF算法做优化。
在BF算法中,很多时候我们并不需要那么多⽆⽤的松弛操作:
- 只有上⼀次被松弛的结点,它的出边,才有可能引起下⼀次的松弛操作;
- 因此,如果⽤队列来维护"哪些结点可能会引起松弛操作",就能只访问必要的边了,时间复杂度就能降低。
spfa算法流程: - 准备⼯作:
- 创建⼀个⻓度为 n 的 dist 数组,其中
dist[i]表⽰从起点到 i 结点的最短路; - 创建⼀个⻓度为 n 的 bool 数组 st ,其中
st[i]表⽰ i 点是否已经在队列中。
- 创建⼀个⻓度为 n 的 dist 数组,其中
- 初始化:标记
dist[1] = 0,同时 1 ⼊队;其余结点的 dist 值为⽆穷⼤,表⽰还没有找到最短路。 - 重复:每次拿出队头元素 u ,去掉在队列中的标记,同时对 u 所有相连的点 v 进⾏松弛操作。
如果结点 v 被松弛,那就放进队列中。 - 重复上述操作,直到队列中没有结点为⽌。
注意注意注意:
虽然在⼤多数情况下spfa跑得很快,但其最坏情况下的时间复杂度为O(nm) 。将其卡到这个复杂度也是不难的,所以在没有负权边时最好使⽤Dijkstra算法。
#include <bits/stdc++.h>
using namespace std;typedef pair<int, int> PII;
typedef long long LL;const int N = 1e4 + 10, INF = 2147483647;int n, m, s;
vector<PII> edges[N];LL dist[N];
bool st[N]; //标记哪些节点在队列中void spfa()
{//初始化for (int i = 0; i <= n; i++) dist[i] = INF;queue<int> q;q.push(s);dist[s] = 0;st[s] = true;while (q.size()){auto a = q.front(); q.pop();st[a] = false;for (auto& t : edges[a]){int b = t.first, c = t.second;if (dist[a] + c < dist[b]){dist[b] = dist[a] + c;if (!st[b]){q.push(b);st[b] = true;}}}}for (int i = 1; i <= n; i++) cout << dist[i] << " ";
}int main()
{ios::sync_with_stdio(false);cin.tie(0);cin >> n >> m >> s;for (int i = 1; i <= m; i++){int a, b, c; cin >> a >> b >> c;edges[a].push_back({b, c});}spfa();return 0;
}
