目录
1.树的相关概念:
2.堆的实现
3.TopK问题
4.总结
1.树的相关概念:

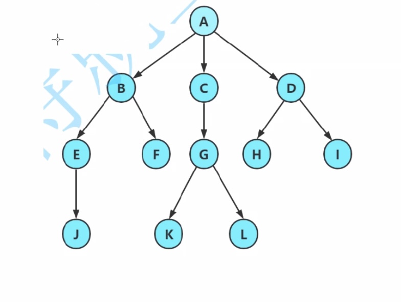
1.结点的度:一个结点含有的子树(孩子)个数。
A的度为6
2.叶结点or终端结点:度为0的结点。
J、K、L、H、I 都是叶子结点
3.非终端结点or分支结点:度不为0的结点
4.双亲结点or父结点:若一个结点含有子结点,那么这个结点被叫做该子结点的父结点。
5.孩子结点or子结点:和概念4反过来
A是B的父结点,B是A的子结点
6.兄弟结点:具有相同父结点的结点互称为兄弟结点
B、C、D是兄弟结点
7.堂兄弟结点:双亲在同一层的结点互为堂兄弟结点
E、F、G、H、I是堂兄弟结点
8.树的度:整棵树中最大的结点的度就是整棵树的度
树的度为3(即A的度,没有比A的度更大的)
9.树的层次:从根结点开始算,根为第1层(一般情况都是从第1层开始算,有些书本上也会从第0层开始算),其所有子节点为第2层,以此类推……
10.树的深度or高度:树中最大的层次
树的高度为4
11.结点的祖先:从根结点到该结点所经分支上的所有结点
L的祖先有G、C、A ,A是所有结点的祖先
12.子孙:和概念11反过来
L是G、C、A的子孙 ,所有结点都是A的子孙
13.森林:多棵互不相交的树组成的集合称为森林
14.一颗N个结点的树有N-1条边
15.对任何一棵二叉树,如果度为0的叶节点个数为m,度为2的分支结点个数为n,则有m = n+1
树的构建是用递归来实现的,把一整棵树看成一个根节点+几个子树,把子树看作一个子树的根节点+子树的子树,以此类推……,直到叶子结点

逻辑结构:想象出来的,例如二叉树就是典型的逻辑结构
物理结构(存储结构):实际编程时所使用的结构,数组、链表这些就是物理结构

特殊的二叉树:
1.满二叉树:每一层都是满的二叉树
假设满二叉树树有N层
第一层 -> 2^0 个结点
第二层 -> 2^1 个结点
……
第N层 -> 2^(N-1)个结点
sum(1+2+……+N) = 2^0 + 2^1 + …… + 2^(N-1) = 2^N - 1 (等比数列求和)
假设满二叉树共有H个结点
2^N - 1 = H ,N = log2(H+1)
2.完全二叉树:前 N - 1 层都是满的,最后一层不满且从左到右必须是连续的
当我们用数组实现完全二叉树时(只有完全二叉树、满二叉树可以用数组实现,否则数组中有些下标对应的元素为空,会存在大量的空间浪费)
假设父亲在数组中的下标:i
左孩子在数组中的下标:2*i + 1
右孩子在数组中的下标:2*i + 2
假设孩子在数组中的下标:j
父亲在数组中的下标:( j-1 ) / 2
因为 "(4-1) / 2 = (4-2) / 2 ",所以不用区分是左孩子还是右孩子
2.堆的实现

堆是一个完全二叉树,堆分为了大根堆(任何一个父亲≥孩子)、小根堆(任何一个父亲≤孩子)
上图所示的即为小根堆
题1:


该类题目先是按照完全二叉树的概念,拆分成h层,然后看上下两层的元素是否都满足同一种大小关系
A选项中,即使60<65,但是70大于65,依旧满足大根堆的概念
B选项中,100大于上一层中的任何一个元素,所以不是堆
……
答案为A
void Adjustup(int* a, int child) //此处的child和parents都是表示数组的下标
{//初始化双亲结点int parents = (child - 1) / 2;while (child > 0){if (a[child] < a[parents])//小根堆{Swap(&a[child], &a[parents]);//改变两个元素的位置child = parents;parents = (child - 1) / 2;}else break;}
}void AdjustDown(int* a,int n, int parent)
{//先假设左孩子小int child = parent * 2 + 1;//如果child >= size(n),说明已经到了叶子节点,停止循环while (child < n){//找出小的那个孩子(先得判断有没有右孩子,这也就是假设左孩子小,不假设右孩子小的原因)if (child + 1 < n && a[child + 1] < a[child])child++;//右孩子比较小,改为右孩子//交换or不交换位置,父节点小于小的子节点时,说明找到了该在的位置if (a[parent] <= a[child]) break;else{Swap(&a[parent],&a[child]);parent = child;child = parent * 2 + 1;}}
}


向上调整、向下调整算法是实现堆还有堆排序最重要的一个算法
AdjustUp函数(上图1):
每次有新的元素插入到二叉树(也可以看作是数组)以后,每次都进行结点和父节点的比较,直到该结点比父节点小时停止位置交换(上图是push函数的流程图,push函数用到的就是向下调整)
AdjustDown函数(上图2):
比较父结点的2个子节点的大小,和小的那个子节点交换位置,这样最后放在上一层的结点要比原兄弟结点和原父节点的元素都小,同时可以保证根节点永远是整个数组中最小的(上图是pop函数的流程图,pop函数用到的就是向下调整)
#pragma once
#include<stdio.h>
#include<stdlib.h>
#include<assert.h>
#include<stdbool.h>typedef struct heap
{int* a;int size;int capacity; // 当结点数量很多时,可能需要扩容
}hp;void Adjustup(int* a, int child);
void AdjustDown(int* a, int n, int parent);
void HPInit(hp* php);
void HPDestroy(hp* php);
void HPPush(hp* php, int x);
void HPPop(hp* php);
int HPTop(hp* php);
bool HPEmpty(hp* php);
void HPDestory(hp* php);
//heap.h
#include"heap.h"void HPInit(hp* php)
{assert(php);php->a = NULL;php->capacity = php->size = 0;
}
void HPDestroy(hp* php)
{assert(php);free(php->a);php->a = NULL;php->capacity = php->size = 0;
}
void Swap(int* a, int* b)
{int c = *a;*a = *b;//把a地址处的元素变为b位置处的元素*b = c;
}
void Adjustup(int* a, int child) //此处的child和parents都是表示数组的下标
{//初始化双亲结点int parents = (child - 1) / 2;while (child > 0){if (a[child] < a[parents])//小根堆{Swap(&a[child], &a[parents]);//改变两个元素的位置child = parents;parents = (child - 1) / 2;}else break;}
}
void HPPush(hp* php, int x)
{ //扩容or初始化if (php->size == php->capacity){int newcapacity = php->capacity == 0 ? 4 : php->capacity * 2;int* temp = (int*)realloc(php->a, sizeof(int) * newcapacity);if (!temp){perror("realloc failure");return;}php->a = temp;php->capacity = newcapacity;}//开始插入php->a[php->size++] = x;//开始向上调整Adjustup(php->a, php->size-1);
}
void AdjustDown(int* a,int n, int parent)
{//先假设左孩子小int child = parent * 2 + 1;//如果child >= size(n),说明已经到了叶子节点,停止循环while (child < n){//找出小的那个孩子(先得判断有没有右孩子,这也就是假设左孩子小,不假设右孩子小的原因)if (child + 1 < n && a[child + 1] < a[child])child++;//右孩子比较小,改为右孩子//交换or不交换位置,父节点小于小的子节点时,说明找到了该在的位置if (a[parent] <= a[child]) break;else{Swap(&a[parent],&a[child]);parent = child;child = parent * 2 + 1;}}
}void HPPop(hp* php)
{assert(php);assert(php->a > 0);Swap(&php->a[0], &php->a[php->size - 1]);php->size--;AdjustDown(php->a, php->size, 0);
}bool HPEmpty(hp* php)
{assert(php);return php->size == 0;
}int HPTop(hp* php)
{assert(php);assert(php->size > 0);return php->a[0];
}void HPDestory(hp* php)
{assert(php);free(php->a);php->a = NULL;php->capacity = php->size = 0;
}
//heap.c
#include"heap.h"void Test1()
{//根据堆的特性,每次输出根节点以后,把根节点删除后重复刚才的操作,那么输出的结果就是有序的int a[] = { 4,2,9,7,5,6,8,3,1 };hp HP;HPInit(&HP);for (size_t i = 0; i < sizeof(a) / sizeof(int); i++){HPPush(&HP,a[i]);}int i = 0;while (!HPEmpty(&HP)) //非空就不断执行{printf("%d ", HPTop(&HP));HPPop(&HP);}HPDestory(&HP);printf("\n");
}void HPSort(int* a,int n)
{//for (int i = 1; i < n; i++)//Adjustup(a, i); //向上调整建立小堆操作,时间复杂度为nlognfor (int i = (n - 1 - 1) / 2; i >= 0; i--)AdjustDown(a, n, i);//从最后一个父节点开始,依次向下调整,直到调整到根节点为止,时间复杂度为nint end = n - 1;while (end > 0){Swap(&a[0], &a[end]);AdjustDown(a, end, 0); end--;}
}void Test2()
{int a[] = { 4,2,9,7,5,6,8,3,1 };HPSort(a, sizeof(a) / sizeof(int));for (int i = 0; i <= 8; i++) printf("%d ", a[i]);printf("\n");
}int main()
{Test1();Test2();return 0;
}
//test.C
代码重点讲解:
HPPush函数:
在物理结构中,插入操作是插入在数组的后面
假设是小根堆,元素x插入j下标位置时,如果(j-1)/2下标位置处的元素y小于x,那么直接插入;否则就先插入,然后两者互换位置,再对互换完位置的x与上面的父结点y相比较,重复刚才的操作
最坏情况可能要和根节点交换位置
HPPop函数:
不能直接数组所有元素向前1位,如此操作兄弟结点可能变为了父节点,堆关系大概率就不存在了
因此可以把要删除的元素和最后一个元素进行交换,删除数组最后一个元素对整个堆不会有任何影响
然后把换了位置后的元素进行向下调整(向上调整的逆操作),向下调整是因为他原本所在最后一层,会是一个比较大or比较小元素(大小根堆的不同)用作删除堆顶的数据(即根节点的数据),每次删除的元素都是最大or最小的元素(堆的特性)
下图1为流程图
HPSort函数:
把数组直接看成一棵二叉树,然后把二叉树中所有元素(除根节点外)进行一次向上调整,每个元素就能找到他们应该存在的位置,这样就能直接把无序数组搞成一个堆了(代码如下图2);但由于这样操作,从根节点到叶子节点的所有数据都要向上调整一次,而叶子节点的向上调整次数最多可以占到所有向上调整次数的半数以上,所以我们此处进行了一定的优化(优化成向下调整)
创建小堆:如果要把数组中的元素进行降序排序,先建立一个小堆,然后进行类似于HPPop的操作(第一个元素和最后一个元素交换位置,然后把当前第一个元素向下调整,如此就能第一个元素(根节点元素)永远是最小的),这样即可完成操作;从最后一个父节点开始,依次向下调整,直到调整到根节点为止,因为叶子节点向下调整也没有东西可以调了,并且最后一层叶子节点(如果是满二叉树),那么叶子结点的函数调用次数将占到所有调用次数的50%,因此从最后一个父节点开始遍历是很大的优化
排序:排完小根堆以后,根节点就是最小值了,此时将根节点与末尾元素交换,每次再对交换上来的末尾元素向下调整(保持小堆特性),就能保住根节点永远是最小的,这样放到末尾的肯定也是最小的;将一个最小的元素放在了末尾以后,下标需要不断往前推移(因为当某个元素放在末尾以后,位置就不需要再进行改动了),直到下标为0时(下标为0时,所有元素都已经排序完毕了,不需要再对已经排完序的数组进行一次操作了),时间复杂度为nlogn
注:若使用大根堆,则此时最头部的元素为最大值;那假设我们把最大值放在最后,然后把所有数据往前移动1位(数组视角),覆盖掉前面数据,再对最头部的元素进行向下调整(保持大根堆特性),这是否可行?
答:这是不可行的,因为数组是被看作完全二叉树的,往前覆盖时结点与结点之间的关系发生了改变(兄弟节点变成了子节点,父结点变成了祖先结点)(如下图3)
代码实现的是降序排序,如果要把降序改为升序就把AdjustDown中的 “a[child + 1] < a[child]” 和 “a[parent] <= a[child]”改为 “a[child + 1] > a[child]” 和 “a[parent] >= a[child]”记忆方法:降序小堆、升序大堆(降小升大)



插入删除结点时,向上向下调整算法的时间复杂度为什么是O(logN)?
如上图所示,完全二叉树的层数近似于log2(N),因此无论是向上还是向下调整的次数都为log2(N)次,所以时间复杂度为O(logN)
使用向下调整算法完成建堆操作时,为什么时间复杂度为O(N)?
如下图所示(向下调整指的是最大向下调整次数),根据数学归纳法不难得出
T(h) = 2^0 * (h-1) + 2^1 * (h-2) + …… + 2^(h-3) * 2 + 2^(h-2) * 1
T(h)计算向下调整建堆最坏情况下合计的调整次数
从后往前看,第h-1层有2^(h-2)个结点,最多向下调整1次……(以此类推,得出该式)
对该式进行错位相减法,具体操作如下所示:
2 * T(h) = 2^1 * (h-1) + 2^2 * (h-2) + …… + 2^(h-2) * 2 + 2^(h-1) * 1 = D(h)
D(h) - T(h) = 2^1 + 2^2 + …… + 2^(h-2) + 2^(h-1) * 1 - 2^0*(h-1) = T(h)
错位相减法使用说明:以 2^1*(h-1) 和 2^1*(h-2) 为例,最后结果为 2^1 ;因为两式的 2^(x) 系数不同但系数的差值恒为1,所以后续都只保留 2^(x) 部分 ;然后再把剩下的没有对应式子的抄下来即可
- 2^0*(h-1) = 2^0 - 2^0*h
2^(h-1) * 1 = 2^(h-1)
F(h) = 2^h - 1 = N (高度为h的满二叉树的结点个数)
T(h) = 2^h - 1 - h = N - h -> 时间复杂度为O(N)
为什么向上调整算法实现建堆时间复杂度远高于向下调整算法?
向上调整:结点数量多的层 * 调整次数多(最后一层需要最多次调整)
结点数量少的层 * 调整次数少
向下调整:结点数量多的层 * 调整次数少(最后一层不需要调整)
结点数量少的层 * 调整次数多

3.TopK问题

方法1:
建立一个N个数的大堆 O(N)
top pop k次 O(k*logN) = O(logN)
如果有10亿个整数数据(40亿字节)建堆,那么需要多少内存空间?
4GB = 4*1024MB = 4*1024*1024KB = 4*1024*1024*1024Byte > 40亿Byte ,因此需要用不到4G的内存去存储10亿个整型数据,内存条倍感压力……
假设只有1G内存,那么可以每次只对1G的数据内容找最大的k个,进行了 x(x = sumGB/1GB)该操作后,在找到的 x*k 个数据中再去找最大的k个
但假设只有1M甚至1K内存,那么这样的操作时间复杂度就过高了
由于不是内存空间占用过大,就是时间复杂度过高,因此该方法并不优秀
方法2:
用数据中的前k个数,建一个小堆;剩下的N-k个数依次与栈顶数据进行比较,如果比栈顶的数据大,就代替栈顶进堆(覆盖根位置,然后向下调整);遍历完以后小堆里的k个数,就是最大的k个数
k个数的完全二叉树创建,时间复杂度为logk;对剩余数据进行遍历,时间复杂度为N-k
总的时间复杂度:logk * (N-k) = O(N)
#include"heap.h"void TopK(int k) //解决topK问题,即从N个数中找最大的前k个(类似于现实中的游戏排行榜)
{int a[] = { 4,2,9,7,5,6,8,3,1 };//创建k个数据的小堆for (int i = (k - 1 - 1) / 2; i >= 0; i--)AdjustDown(a, k, i);int i = k;//对剩下的N-k个数据进行遍历while (i < sizeof(a) / sizeof(int)){if (a[0] < a[i]){//覆盖数据a[0] = a[i];//在小堆中向下调整AdjustDown(a, k, 0);i++;}else //比最小的小,直接跳过不用放入堆中{i++;continue;}}for (int i = 0; i <= k - 1; i++)printf("%d ", a[i]);
}int main()
{TopK(3);return 0;
}
//test.c
代码重点讲解:
创建小堆时,直接在数组中进行创建;堆有k个元素,映射到数组下标就是k-1;把[0,k-1]下标的数组看作完全二叉树,创建时直接从最后的父节点开始依次向下调整,最后的父节点根据完全二叉树子节点与父节点关系公式: (j-1)/2 = i ,可以得出下标为 (k - 1 - 1)/2
然后再对原数组[k,n-1]下标的元素进行遍历,其余操作如上文所述
4.总结
1.堆---数据结构---C++stl库中的priority_queue
2.堆排序
3.topK问题
4.堆排序、topK的时间复杂度问题
