LeetCode106_从中序与后序遍历序列构造二叉树
- 标签:#树 #数组 #哈希表 #分治 #二叉树
- Ⅰ. 题目
- Ⅱ. 示例
- 0. 个人方法
标签:#树 #数组 #哈希表 #分治 #二叉树
Ⅰ. 题目
给定两个整数数组 inorder 和 postorder ,其中 inorder 是二叉树的中序遍历, postorder 是同一棵树的后序遍历,请你构造并返回这颗 二叉树 。
Ⅱ. 示例
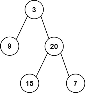
· 示例 1:

输入:inorder = [9,3,15,20,7], postorder = [9,15,7,20,3]
输出:[3,9,20,null,null,15,7]
· 示例 2:
输入:inorder = [-1], postorder = [-1]
输出:[-1]
0. 个人方法
这题和上一题(LeetCode105)很像,这里不做过多赘述,有需要的朋友们可以直接点击超链接去看看。
/*** Definition for a binary tree node.* struct TreeNode {* int val;* TreeNode *left;* TreeNode *right;* TreeNode() : val(0), left(nullptr), right(nullptr) {}* TreeNode(int x) : val(x), left(nullptr), right(nullptr) {}* TreeNode(int x, TreeNode *left, TreeNode *right) : val(x), left(left), right(right) {}* };*/
class Solution {
public:TreeNode* buildTree(vector<int>& inorder, vector<int>& postorder) {return buildTreeRoot(inorder, 0, inorder.size()-1, postorder, 0, postorder.size()-1);}TreeNode* buildTreeRoot(const vector<int>& inorder, int inStart, int inEnd, const vector<int>& postorder, int postStart, int postEnd){if (inStart > inEnd || postStart > postEnd){return nullptr;}// 根结点TreeNode* root = new TreeNode(postorder[postEnd]);// 找中序遍历中的根结点int mid = 0;for (int i=inStart; i<=inEnd; i++){if (inorder[i] == postorder[postEnd]){mid = i;break;}}int leftsize = mid - inStart;// int rightsize = inEnd - mid;root->left = buildTreeRoot(inorder, inStart, mid-1, postorder, postStart, postStart+leftsize-1);root->right = buildTreeRoot(inorder, mid+1, inEnd, postorder, postStart+leftsize, postEnd-1);return root;}
};
