引言

卤化物钙钛矿作为光活性半导体的出现,为光伏技术的发展开辟了令人振奋的新方向。[1] 除了在单结太阳能电池中的优异表现,目前研究的重点在于将钙钛矿吸收层整合到叠层器件中。在硅-钙钛矿叠层太阳能电池中,将高效的钙钛矿吸收层与成熟的硅技术相结合,已成为超越单一材料限制、进一步提升光转换效率的有效途径。
尽管近年来的进展充满希望,但我们对卤化物钙钛矿中移动离子如何影响器件优化策略的理解仍然处于不断发展的阶段。特别是在研究叠层太阳能电池中的电流匹配和滞后时,这一点尤为突出。[2] 理解影响完整叠层器件滞后特性的参数对于设计合适的测量技术并正确解读数据至关重要。在这篇博客文章中,我们展示了如何通过Fluxim 的 Setfos 软件进行漂移-扩散仿真,来指导针对这些问题的研究。
背景
钙钛矿材料是一种离子-电子混合导体,意味着它们同时允许电子和离子的迁移。[3] 在钙钛矿太阳能电池的工作过程中,移动离子(如卤素空位)会在器件中重新分布,从而引起器件性能的缓慢变化,这种现象通常可通过电流-电压 (I-V)测试中观察到的滞后行为反应出来。当扫描速率非常快(离子来不及响应)或非常慢(离子充分响应)时,滞后现象往往不明显。而在某些情况下,即使存在离子迁移,滞后现象在任何扫描速率下都可能不可见。
深入理解离子迁移有助于识别潜在的降解路径。其中之一就是反向偏置降解,这是在钙钛矿光伏中广泛关注的一个问题。其原因与接触层和活性层在大幅度(反向)极化的界面上的可能反应性有关。[4]
对于单结钙钛矿太阳能电池而言,避免反向偏压相对容易。然而,在考虑嵌入叠层架构中的钙钛矿太阳能电池时,这一点就不那么明显了。在叠层结构中,两个(或多个)子电池是串联连接的。流经每个子电池的电流是相同的,而串联器件的总电压是每个子电池电压的总和(考虑到复合结的损失)。当叠层器件在接近最大功率点工作时,子电池上降落的电压并不一定对应它们各自的最大功率工作点。例如,如果子电池 1 提供的光电流低于子电池 2,子电池 1 的工作电压会将被推向较低值,而子电池 2 的工作电压则被推向较高值(直到开路电压VOC)。即使叠层器件可能在正向偏置下工作,光限流电池甚至可能被迫在反向偏置下工作。由此可见,即使对整个器件施加恒定电压,叠层器件中子电池的工作条件也会根据光学偏置的不同而有所变化。
在叠层器件中,子电池之间的光电流匹配的研究是该领域的一个重要课题。由于叠层太阳能电池中第三电极的电势通常不易直接获得,仅通过实验来解释和预测器件行为可能是具有挑战性的。光学建模与漂移-扩散仿真相结合提供了一个强大且便捷的方式来获取此类信息的手段。在这里,我们展示了使用 Fluxim 的 Setfos 软件来评估电流匹配对叠层太阳能电池响应的影响。
方法
我们使用 Setfos 5.5对完整的叠层太阳能电池器件的光学和漂移-扩散仿真。所考虑的器件堆叠结构如图 1 所示。 [5] 各层的光学和电学性质的输入参数来自文献,或者适当的信息不可用时设置为代表性值。

图1: 本研究中使用的叠层太阳能电池堆叠结构。表面纹理轮廓取自参考文献 [6].
为了探索电流匹配的影响,我们考虑了太阳光谱的不同修改版本,其中短波长和长波长范围的权重不同。根据所选的架构,我们定义了与 AM1.5G 标准(FAM1.5G(λ))不同的照射光谱 F(λ),其关系如下(见图 2b):

参数kshort(λ) 和 klong(λ) 的值被选择,使得在两个子电池中,最大光生电流的变化在大小上相等但符号相反。这种变化由参数 z 量化。根据参考文献 [2] 中的分析,两个子电池中产生的光电流分别对应于:

公式(1) 中的参数 λm 是一个任意波长,用于定义 “短 ”波长和 “长 ”波长范围。在这里,选择λm = 739 nm作为两个子电池吸收层的吸收度相同的波长(见图 2a 中模拟的堆叠结构的吸光度)。对于 -0.2 ≤ z ≤ 0.2的值, 得到的光谱辐照度如图 2b 所示。

图 2. (a) 两个子电池的钙钛矿和硅活性层的吸收度。(b) 太阳光谱AM1.5G和使用不同参数z 值修改后的光谱(见公式 2 和 3)。[2] 两图中的虚线标识了 λm = 739 nm 的值。
在不同光照条件下,模拟了叠层太阳能电池的电流-电压(J-V)特性。仿真首先用于获得子电池和完整叠层器件的稳态 J-V 曲线。其次,进行瞬态仿真以评估叠层太阳能电池的滞后响应。对于这种瞬态仿真,假设预偏压为1.9 V (起始点为稳态条件),除非另有说明。该电压接近叠层器件的开路电压,导致接近平带的情况。然后依次进行反向和正向电压扫描,并评估瞬态器件电流作为扫描速率的函数。
结果与讨论
图 3a 显示了与叠层器件和两个子电池响应相关的堆叠结构中的电学量。完整叠层器件的电压(VT)以及硅和钙钛矿子电池的电压分别在示意图(VS和 VP)中标出。图 3b 显示了在考虑 AM1.5G 照明条件下,叠层器件的稳态 J-V仿真结果。在同一图中,子电池在相同光学偏置条件下的电流-电压特性也有所展示。再次强调,在与叠层器件相似的工作条件下研究子电池的响应在实验上并不简单。仿真却可以轻松获得此类信息。值得注意的是,钙钛矿子电池的J-V曲线在接近最大功率点的电压范围内显示出一个小的拐点。这是由于在 0.6 - 0.8 V 的电压范围内,与C60 层接口接近的地方发生了复合增加(图 3d), 这是离子重新分布对电子浓度分布的影想所导致的。这种拐点在图 3c 中的叠层响应中并不存在,因为钙钛矿子电池电压的变化可以忽略不计(另见下文)。

图 3. (a) 在Setfos 仿真中使用的堆叠结构,用于研究叠层器件(左)、硅子电池(中)或钙钛矿子电池(右)的响应。每个示意图中都标明了相关的端子、电压和电流。(b) 在一 太阳光照射下(AM1.5G),完整叠层太阳能电池的稳态电流-电压曲线,以及基于图 1 中相同光学堆叠的单个子电池的稳态电流-电压曲线。 (c) (b) 中的电流密度的放大图,突出显示了当叠层器件在 0 V 下工作时,子电池的工作点。(d) 钙钛矿子电池中的电压依赖性复合率。数据参考了 (c) 中的顶部电池仿真。(e) 叠层器件在 0 V 电压下工作时的能带分布图。
图3c强调,在整个器件的工作点确定的情况下(例如在一个太阳AM1.5G条件下的短路状态),各子电池的工作状态可能彼此非常不同,这取决于电流匹配的情况。在这种情况下,硅太阳能电池是限制电流的元件,因此它在反向偏压下工作(VS < 0V),而钙钛矿太阳能电池则在一个与硅电池电压大小相等但方向相反的电压下工作(VP < -VS)。
Setfos仿真输出的能带分布图(图3e)以一种更直观的方式展示了相同的概念。子电池电压 VS 和VP 与基本电荷 q的乘积,可以作为器件内部电压(即准费米能级分裂)的近似指标,尽管在远离开路条件的情况下,这两个数值之间通常会出现较大的差异。

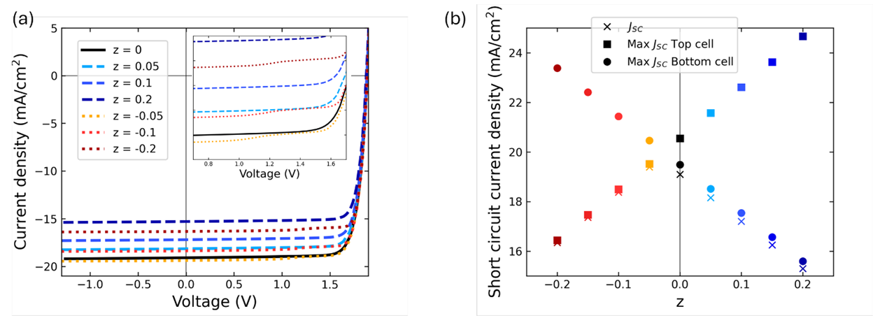
图4。(a)在不同光谱照射条件下,根据公式(2)和(3)中定义的参数 z 值,整个叠层太阳能电池的稳态电流-电压(J-V)曲线。插图突出显示了在部分仿真数据中J-V曲线中存在一个小的拐点。(b)短路电流密度随 z 的变化关系图。图中还展示了基于总光生载流子产生量,每个子电池的最大光电流。
图4a展示了当参数 z 发生变化时,稳态J-V特性曲线的变化,此时整体光电流可能由底部电池( z = 0)或顶部电池(z = -0.05)所限制。在调节 z 的过程中,变化最显著的参数是短路电流密度,而器件的填充因子和开路电压变化相对不明显。图4b进一步强调了叠层器件的模拟短路电流密度(交叉标记)对z 的依赖性,在电流匹配条件附近表现出一个最大值。对于此处考虑的器件结构,这一匹配状态出现在略微负值的 z 范围内(-0.05 < z < 0)。图中还将短路光电流与在不同照射条件下两个子电池中各自的最大光电流进行了对比,显示出在光生载流子总产生量最低的子电池中出现电流限制效应。最大光电流与叠层器件实际模拟出的短路电流密度之间的差异,则归因于电流限制子电池中的复合损失。
如引言中所述,在进行J-V测试过程中,电流限制子电池可能会被推入反向偏压状态,而另一个子电池则仍处于正向偏压状态(为简化讨论,假设施加的总电压为≥0 V)。图5展示了在z = -0.05和z = 0两种情况下的这一效应,在接近短路条件下,分别是钙钛矿电池或硅电池承受反向偏压电压。图5b显示了在这两种光照条件下进行J-V扫描时,硅和钙钛矿子电池的完整稳态电压分布,电压是作为整个叠层器件所施加电压的函数绘制的。图中的阴影区域突出显示了电流限制子电池处于反向偏压状态的电压区间。

图5。(a)能带分布图,展示在两种不同光谱的光学偏置下,钙钛矿和硅子电池在不同工作条件(短路点、最大功率点、开路点)下的电势分布情况。在 z = -0.05 的情况下,由钙钛矿顶部电池限制电流;而在 z = 0 时,则是由硅底部电池限制电流。(b)对应(a)中研究的两种 z 值,稳态下子电池电压随整个叠层器件所施加电压的变化曲线。
这一分析已经指出,在稳态条件下,光学偏置对叠层器件中子电池的工作状态具有重要影响。一个重要的信息是:在J-V测试过程中,只有当某个子电池成为电流限制单元时,该子电池两端的电势变化才会显著。如果电流限制的是钙钛矿子电池,这种电压变化会引发离子的重新分布,进而影响器件的载流子收集效率。确实,图3b-c中描述的钙钛矿子电池在稳态数据中出现的J-V拐点现象,仅在图4a中与钙钛矿子电池成为限制单元相关的光照条件(z = -0.05,-0.1,-0.2)的稳态J-V曲线(见插图)中可见。除了影响稳态响应外,在瞬态仿真中,由于电压变化导致的离子重新分布还可能引发滞后效应,这一现象在实验表征这些器件时具有重要意义。

图6。叠层太阳能电池的瞬态电流-电压(J-V)仿真结果,器件在预偏置至1.9 V后,先进行反向扫描至0 V,再进行正向扫描回1.9 V。图中展示了在不同扫描速率下的仿真结果。(a)z = -0.05,(b)z = 0。
在这里,我们使用 Setfos 的瞬态求解器功能,针对不同光照条件下的叠层器件运行完整的 J-V 扫描仿真,以探讨这种瞬态行为。通过以不同的扫描速率进行J-V仿真,可以观察到与钙钛矿中离子重新分布相关的不同响应机制。图6a 和 6b 的仿真采用了1.9 V(接近开路电压)作为预处理电压,随后进行反向扫描至0 V,再正向扫描回1.9 V。由于在测试过程中只有电流限制子电池会经历显著的电压变化,当硅子电池是限制元件时(图6b),钙钛矿子电池中几乎不会发生离子重新分布,因而在整体叠层器件的 J-V 仿真中几乎不出现滞后现象。而另一方面,当钙钛矿子电池为电流限制元件时(图6a),其内部的移动离子分布会在电流-电压扫描过程中受到扰动。这种扰动的程度取决于扫描速率:在较快的扫描速率下,几乎不会发生变化,因此正向和反向扫描曲线基本一致,除了位移电流的影响;而在中等扫描速率下,移动离子的重新分布会导致顶部电池中的载流子复合和收集效率发生变化。
这使得叠层器件的 J-V 曲线表现出一些与钙钛矿子电池自身相关的特征。确实,在叠层器件中观察到的滞后行为,与单独对钙钛矿子电池进行仿真时所呈现的特征非常相似(见图7a,其中叠层器件的 J-V 曲线已根据硅太阳能电池的开路电压进行了校正)。
最后,我们指出,预偏置条件和电压扫描顺序对器件的响应至关重要。在图7b中,比较了采用0 V预偏置后进行正向-反向扫描序列的仿真J-V曲线与采用1.9 V预偏置后进行反向-正向扫描序列的仿真结果。对于这些数据,甚至观察到了滞后现象的变化,在1.9 V预偏置情况下,反向扫描的电流密度更负(通常称为“正常滞后”),而0 V预偏置情况下则表现出混合行为。这一比较强调了不同的初始离子分布会反映出太阳能电池在瞬态复合特性上的差异。

图7。以10 V/s的扫描速率对仿真J-V中的滞后行为进行比较。(a)钙钛矿顶部电池的J-V曲线与完整的顶部限制叠层器件(z = -0.05)的J-V曲线。叠层器件的数据绘制在校正后的电压上(实际电压减去硅太阳能电池的开路电压),以便进行定性比较。(b)图(a)中的叠层器件J-V曲线,采用反向-正向电压扫描序列,与采用正向-反向扫描序列得到的结果进行比较。在这两种情况下,预偏置电压对应于在扫描序列开始时施加到器件上的第一个电压值(见图中的标签)。
总结
通过使用 Setfos 进行的漂移扩散仿真与光学建模相结合,可以获得硅-钙钛矿叠层太阳能电池的光电稳态和瞬态响应。这为评估诸如电流匹配、移动离子对电学响应的影响、导致子电池反向偏压的光谱条件等问题提供了可能性。我们发现:
- 操控光学偏置可以获取不同的电流限制条件
- 电流限制的子电池在稳态或瞬态电流-电压测量过程中经历最显著的电压变化
- 因此,电流限制子电池在很大程度上决定了整个叠层器件的稳态和瞬态行为
- 特别地,在钙钛矿电池为电流限制元件的情况下,这会导致显著的离子重新分布,从而调节器件中的复合电流。在瞬态仿真(和实验)中,这会导致滞后效应
- 器件的电学响应和表观效率可能依赖于如扫描速率、预偏置电压、扫描方向顺序等因素
这些结果表明,在研究叠层器件的瞬态响应和离子特性时,控制光学偏置的重要性。同时,它们也强调了没有滞后现象并不意味着不存在移动离子缺陷。
如果我们激发了您对模拟和优化硅-钙钛矿多结太阳能电池的兴趣,请与我们联系或直接申请免费的 Setfos 试用版本。
References
[1] L. Schmidt-Mende et al., Roadmap on organic–inorganic hybrid perovskite semiconductors and devices, APL Materials 9, 109202 (2021).
[2] C. Messmer, D. Chojniak, A. J. Bett, S. K. Reichmuth, J. Hohl-Ebinger, M. Bivour, M. Hermle, J. Schön, M. C. Schubert, and S. W. Glunz, Toward more reliable measurement procedures of perovskite silicon tandem solar cells: The role of transient device effects and measurement conditions, Prog Photovolt Res Appl. 1 (2024).
[3] T. Yang, G. Gregori, N. Pellet, M. Grätzel, and J. Maier, The Significance of Ion Conduction in a Hybrid Organic–Inorganic Lead‐Iodide‐Based Perovskite Photosensitizer, Angewandte Chemie 127, 8016 (2015).
[4] R. A. Z. Razera et al., Instability of p–i–n perovskite solar cells under reverse bias, J. Mater. Chem. A 8, 242 (2020).
[5] D. Turkay et al., Synergetic substrate and additive engineering for over 30%-efficient perovskite-Si tandem solar cells, Joule 8, 1735 (2024).
[6] S. Altazin, L. Stepanova, J. Werner, B. Niesen, C. Ballif, and B. Ruhstaller, Design of perovskite/crystalline-silicon monolithic tandem solar cells, Opt. Express 26, A579 (2018).
