文章目录
- 一. 基本内容与重要结论
- 1. 基础知识
- 2. 重要定理
- 2.1.特征值与线性相关性
- 2.2. 相似与对角化
- 2.3. 对称矩阵与正交
- 变换与理解
- 二. 典型例题
- 1. 特征值与特征向量
- 题型一: 数字型矩阵
- 题型二:抽象矩阵
- 题型三:相似矩阵的特征值,特征向量
- 2. 相似、相似对角化
- 题型一:根据相似性质(秩相等)由A求B
- 题型二:与对角相似则一定有n个线性无关向量
- 题型三:利用相似性质判断是否相似
- 题型四 对角化与特征方程定义+齐次方程组的解
- 3. 矩阵中有未知数时特征向量的讨论
- 利用相似必要条件:求出未知数
- 4. 求对角的可逆矩阵
- 5. 用相似(对角矩阵或相似矩阵)求 A n A^n An
- 6. 反求矩阵A
- 7. 实对称矩阵
- 题型一:利用<实对称矩阵一定能够对角化>的性质
- 题型二:实对称矩阵的正交化
- 题型三:利用正交来求特征向量
一. 基本内容与重要结论
1. 基础知识
特征值与特征向量
特征方程
- 求特征方程的行列式=0(=0意味着有解),得λ,即特征值。
- 由各个λ,求各个特征值的基础解系。
相似的定义
与对角矩阵相似,则可对角化
2. 重要定理
特征值的特征向量的组合
- 相同特征值的特征向量的组合,也属于此特征值的特征向量
- 不同特征值的特征向量组合,不是特征向量
特征值与对角线元素的关系、特征值与行列式的关系
2.1.特征值与线性相关性
不同特征值之间的特征向量线性无关
特征值的重数与属于它的特征向量的线性无关的个数。
2.2. 相似与对角化
特征值与对角化
相似对角化的充要条件
2.3. 对称矩阵与正交
变换与理解

与对角相似,则有三个线性无关的特征向量。
二. 典型例题
1. 特征值与特征向量
题型一: 数字型矩阵

- 求| λE- A | = 0 ,得特征值
- 求各个特征值的通解,基础解系的自由变量=1?(也可以设为0,或其他数)






本题型主要注意
不用化成最简式,化成行阶梯矩阵就可以。对于基础解系:自由变量取值比较随机,保证容易计算即可。

1.直接计算
题型二:抽象矩阵

- A+kE的特征值:λ+k,特征向量是a
- A²的特征值:λ²,特征向量是a
- A − 1 A^{-1} A−1 的特征值是1/λ,特征向量是a

- 找特征等式形式:
- 由解的性质,得非齐次特解,带入非齐次方程,得特征等式形式
- 齐次基础解系,带入齐次等式,得特质等式
- 由特征定义得特征值和特征向量。
题型三:相似矩阵的特征值,特征向量

解题思路:由已知式子出发,根据特征等式求

- 方式一:(看到A可逆,就想到凑相似形式)(左右乘A,A-1次)相似则,有相同的特征值。
- 方式二:特征多项式(行列式),式子相同则特征值相等。
- 利用矩阵行列式相乘公式:|AB|=|A||B|=|B||A|=|BA|

方式1:
线性无关想到可逆,进而可以利用相似。
相似有相同的特征值,但没有相同的特征向量,具体公式见5题。
方式2:利用定义,将2a1+a2看成整体。

2. 相似、相似对角化
相似必要条件:行列式、秩、特征值、对角元素之和,相等
相似的传递性
相似的kE与n次方,相似
题型一:根据相似性质(秩相等)由A求B

由相似得秩的关系:

题型二:与对角相似则一定有n个线性无关向量

与对角相似,则有三个线性无关的特征向量。那么就判断特征向量。
- 三个不同的特征值,必有三个线性无关的特征向量
- 根据基础解系的关系n-R(A)=3-2=1,二重根只有一个解向量,不能对角化
- 与二相反
- 实对称矩阵一定能相似对角化。
题型三:利用相似性质判断是否相似

- 难点在于:难找p使得相似定义相等,所以要利用其他方式。
- 相似的必要条件:行列式、秩、特征值、对角线元素之和 相等。
- 对角线元素之和不相等
- B不可相似对角化,A肯定能,故不相似。
- 特征向量个数不同(不用具体的特征向量)
特征值向量的求解还不熟练。

A是实对称矩阵,则一定可以对角化。判断B是否能够对角化:即存在三个线性无关的特征向量.
- 如果不存在则不能对角化,则不相似
- 如果存在,再判断特征值是否一致。一致则说明有一样的对角矩阵,则相似。
凑相似形式,相似,则判断B是否能对角化。

- 凑成AP=PB的()形式,得相似。B能否对角化,决定A能否对角化,简化。
- 相似则 A+E~B+E 相似。求B+E的秩。
题型四 对角化与特征方程定义+齐次方程组的解

抽象,则利用定义
由题意可设A的列向量就是解向量
- 设A的列向量,由等式得出特征等式
- 由秩,知道齐次方程有非零解,进而可知λ=0,特征解不为0向量(重要结论)
- 因为0不等于5,所以有三个线性无关的特征向量。
3. 矩阵中有未知数时特征向量的讨论
利用相似必要条件:求出未知数
必要条件:秩、对角线之和、特征值 相等

方法一:
- 对角线之和得一个条件。
- B找出一个特征值,让A求特征行列式=0,再得一个条件。

直接求特征多项式,根据重根信息,分析λ特点,求出a,进而得出基础解系的特性,判断是否可以对角化。
4. 求对角的可逆矩阵
求P的方式

P这么构成的原因

- 特征多项式求λ,根据题意(两个不同得特征值+对角),得到λ的取值与特征向量
- 基础解系即能构成对角可逆矩阵。

- 右乘, 变换成AP=PB形式,则相似,求B的特征值就是A的特征值
- 利用“提示结论”,先求B的P,然后再求A的P。

- 利用相似特性:对角线之和、行列式相等、(秩相等=这里没用到)
- 利用对角相似化,利用相同的对角矩阵,凑P。
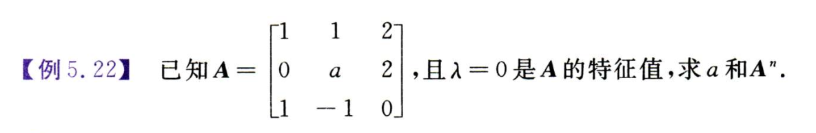
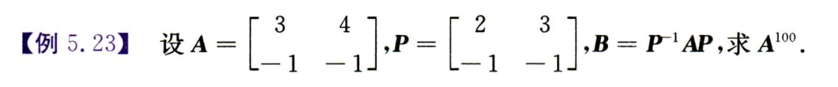
5. 用相似(对角矩阵或相似矩阵)求 A n A^n An
![]()
利用相似对角矩阵来求, A n {A^n} An

- 求特征值:|λE-A|=0,将0带入,一个未知数一个已知条件。得a。
- 求 A n A^n An:根据提示:求出P、对角的n次方,即可求出 A n A^n An
- 求特征值:
- 求特征向量:
- 得p,求 p − 1 p^-1 p−1。 { P : E } − > { E : P − 1 } \{P:E\}->\{E:P^-1\} {P:E}−>{E:P−1}
- 求结果:左乘行变换,右乘列变换。
利用相似矩阵间接求 A 100 A^{100} A100

- 求B:
- 间接求A^100
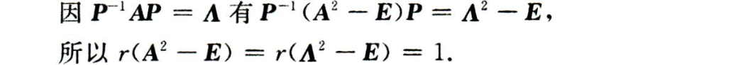
6. 反求矩阵A


- 利用非齐次行列式无穷多解的条件:R()小于等于2
- 利用上面的式子求A
- r(A²-E):新的求法:利用上面的式子进行抽象式子变换


- 求A:
- 利用 A a 1 = λ 1 a 1 Aa_1=λ_1a_1 Aa1=λ1a1,(矩阵相乘:一行一列相乘),可得λ。
- 求A: A = P ∗ 对角矩阵 ∗ P − 1 A=P*对角矩阵*P^{-1} A=P∗对角矩阵∗P−1
- 观察到3是A的特征值,所以通解是λ=3的通解。
7. 实对称矩阵
题型一:利用<实对称矩阵一定能够对角化>的性质

- 利用特征定义:得出λ=0,或1.
- 因为是实对称矩阵所以可对角化
- 相似则秩相等,(+对角矩阵由λ组成,)对角矩阵的秩=2,所以得λ=1,1,0
题型二:实对称矩阵的正交化

- 用特征行列式进行讨论
- 求正交矩阵:
- 求特征向量
- 判断是否正交
- 求正交向量
- 特征向量的正交问题
- 对于相同特征值的不同特征向量,一定不正交
- 对于实对称矩阵,不同特征值对应的特征向量一定正交。

题型三:利用正交来求特征向量

-
由题意得|B|=0
-
利用正交来求特征向量
- 因为行列式=0,则一定有λ=0(特征值相乘=行列式)
- R(B)=2,有两个线性无关的向量,知道6特征值,有两个特征无关的向量:

- 实对称不同特征值的特征向量一定正交,根据正交(得齐次方程,得a1),求出λ=0特征向量。

3.1. 求A:知道特征值与特征向量可求A
3.2.



























