在 T型三电平逆变器 的 (SPWM) 下,线电压(Line-to-Line Voltage) 和 中点电压(Line-to-Neutral Voltage) 的电平数量有所不同,具体分析如下:
1. 线电压(Line-to-Line Voltage, (V_{ab}, V_{bc}, V_{ca}))
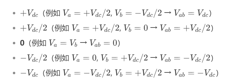
在 SVPWM 调制下,T型三电平逆变器的 线电压 通常有 5 种电平:

结论:线电压在 SPWM 调制下具有 5 种电平((\pm V_{dc}, \pm V_{dc}/2, 0))。
2. 中点电压(Line-to-Neutral Voltage, (VaN, VbN, VcN))
在 SPWM 调制下,T型三电平逆变器的 相电压(对电机中性点) 通常有 3 种电平:
- (+Vdc/2)(上桥臂导通)
- 0(T型中点导通)
- (-Vdc/2)(下桥臂导通)
但需要注意:
- 如果 电机中性点(N) 与 直流母线中点(O) 直接连接(理想情况),则相电压严格为 3 电平。
- 如果电机中性点 悬浮(未直接连接),由于 共模电压 的影响,实际相电压可能 轻微波动,但仍主要呈现 3 电平 特性。
结论:中点电压在 SVPWM 调制下通常为 3 种电平((\pm V_{dc}/2, 0))。
3. 总结

因此,在 T型三电平逆变器的 SPWM 调制 下:
- 线电压有 5 种电平(由于两相电压的组合差异)。
- 中点电压有 3 种电平(由单相开关状态决定)。
这种特性使得 T 型三电平逆变器在降低谐波、提高输出波形质量方面优于传统两电平逆变器。
