1、题目描述
给你两个单链表的头节点 headA 和 headB ,请你找出并返回两个单链表相交的起始节点。如果两个链表不存在相交节点,返回 null 。
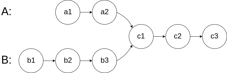
图示两个链表在节点 c1 开始相交:

题目数据 保证 整个链式结构中不存在环。
注意,函数返回结果后,链表必须 保持其原始结构 。
自定义评测:
评测系统 的输入如下(你设计的程序 不适用 此输入):
-
intersectVal- 相交的起始节点的值。如果不存在相交节点,这一值为0 -
listA- 第一个链表 -
listB- 第二个链表 -
skipA- 在listA中(从头节点开始)跳到交叉节点的节点数 -
skipB- 在listB中(从头节点开始)跳到交叉节点的节点数
评测系统将根据这些输入创建链式数据结构,并将两个头节点 headA 和 headB 传递给你的程序。如果程序能够正确返回相交节点,那么你的解决方案将被 视作正确答案 。
实例1:

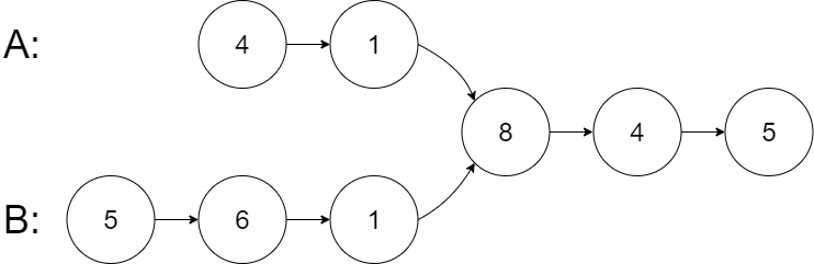
输入:intersectVal = 8, listA = [4,1,8,4,5], listB = [5,6,1,8,4,5], skipA = 2, skipB = 3
输出:Intersected at '8'
解释:相交节点的值为 8 (注意,如果两个链表相交则不能为 0)。 从各自的表头开始算起,链表 A 为 [4,1,8,4,5],链表 B 为 [5,6,1,8,4,5]。 在 A 中,相交节点前有 2 个节点;在 B 中,相交节点前有 3 个节点。 — 请注意相交节点的值不为 1,因为在链表 A 和链表 B 之中值为 1 的节点 (A 中第二个节点和 B 中第三个节点) 是不同的节点。换句话说,它们在内存中指向两个不同的位置,而链表 A 和链表 B 中值为 8 的节点 (A 中第三个节点,B 中第四个节点) 在内存中指向相同的位置。
实例2:

输入:intersectVal = 2, listA = [1,9,1,2,4], listB = [3,2,4], skipA = 3, skipB = 1
输出:Intersected at '2'
解释:相交节点的值为 2 (注意,如果两个链表相交则不能为 0)。 从各自的表头开始算起,链表 A 为 [1,9,1,2,4],链表 B 为 [3,2,4]。 在 A 中,相交节点前有 3 个节点;在 B 中,相交节点前有 1 个节点。
实例3:

输入:intersectVal = 0, listA = [2,6,4], listB = [1,5], skipA = 3, skipB = 2
输出:No intersection
解释:从各自的表头开始算起,链表 A 为 [2,6,4],链表 B 为 [1,5]。
由于这两个链表不相交,所以 intersectVal 必须为 0,而 skipA 和 skipB 可以是任意值。
这两个链表不相交,因此返回 null 。
提示:
-
listA中节点数目为m -
listB中节点数目为n -
1 <= m, n <= 3 * 104 -
1 <= Node.val <= 105 -
0 <= skipA <= m -
0 <= skipB <= n -
如果
listA和listB没有交点,intersectVal为0 -
如果
listA和listB有交点,intersectVal == listA[skipA] == listB[skipB]
进阶:你能否设计一个时间复杂度 O(m + n) 、仅用 O(1) 内存的解决方案?
2、方法1:哈希集合
解题思路:
-
初始化哈希集合:创建一个
HashSet来存储链表A的节点引用。 -
遍历链表
A:-
将链表
A的每个节点依次加入HashSet。
-
-
遍历链表
B:-
对于链表
B的每个节点,检查是否存在于HashSet中。 -
如果存在,则该节点就是相交的起始节点,直接返回。
-
-
遍历结束:
-
如果链表
B遍历完毕仍未找到相交节点,返回null。
-
关键点:
-
时间复杂度:O(m + n),其中
m和n分别是链表A和B的长度。 -
空间复杂度:O(m),最坏情况下需要存储链表
A的所有节点。
//使用哈希集合解题,先遍历其中一个链表,并将其每个节点存储到哈希集合中//遍历另外一个链表的时候,第一次判断该链表的结点存在于哈希结合中,那一定就是相交的结点public static ListNode getIntersectionNode(ListNode A, ListNode B){if (A == null || B == null) return null;HashSet<ListNode> hashSet = new HashSet<>();//先将A链表的结点入哈希集合中,在后续遍历链表B的时候,再来判断哈希集合是否有存在链表B的节点,当第一个的时候也就是相交的节点while (A != null){hashSet.add(A);A = A.next;}while (B != null){if (hashSet.contains(B)){return B;}B = B.next;}return null;}
3、方法2:双指针
解题思路:
-
初始化指针:
-
指针
A指向链表A的头节点headA。 -
指针
B指向链表B的头节点headB。
-
-
同步遍历链表:
-
指针
A和B同时每次移动一步。 -
如果
A到达链表A的末尾(null),则将其重定向到链表B的头节点headB。 -
如果
B到达链表B的末尾(null),则将其重定向到链表A的头节点headA。
-
-
相遇条件:
-
当
A和B指向同一个节点时,该节点就是相交的起始节点。 -
如果
A和B同时到达null,说明链表无交点。
-
关键点:
-
数学原理:
-
设链表
A的非公共部分长度为a,链表B的非公共部分长度为b,公共部分长度为c。 -
指针
A走过的路径:a + c + b。 -
指针
B走过的路径:b + c + a。 -
两者路径长度相同,因此会在相交点相遇。
-
-
时间复杂度:O(m + n)。
-
空间复杂度:O(1),仅需两个指针。
//使用双指针解题,// 指针A遍历到链表A的尾结点null时,将指针A指向链表B,继续遍历链表B// 同时,指针B遍历到链表B的尾结点null时,也是将指针B指向链表A,继续遍历链表A// 当指针A和指针B相遇的时候,一定是相交点public static ListNode getIntersectionNode(ListNode headA, ListNode headB){if (headA == null || headB == null) return null;ListNode A = headA;ListNode B = headB;while (A != B){A = A==null? headB:A.next;B = B==null? headA:B.next;}return A;}
4、方法3:快慢指针
解题思路:
-
计算链表长度:
-
遍历链表
A和B,分别计算长度lenA和lenB。
-
-
对齐起点:
-
计算长度差
differ = |lenA - lenB|。 -
将较长链表的指针向后移动
differ步,使得剩余部分长度相同。
-
-
同步遍历:
-
两个指针同时每次移动一步,直到指向同一节点。
-
如果遍历到
null仍未相遇,说明无交点。
-
关键点:
-
时间复杂度:O(m + n)。
-
空间复杂度:O(1)。
// 使用快慢指针解题// 遍历两个链表获得各个链表的长度,并得到长度之差 differ = |lenA - lenB|// 然后将较长的指针,直接跳过differ个结点,遍历链表,当两个指针指向同一个节点时,说明该节点就是相交节点public static ListNode getIntersectionNode2(ListNode headA, ListNode headB){int lenA=0,lenB=0,differ=0;ListNode A=headA, B=headB;while (headA != null){lenA++;headA = headA.next;}while (headB != null){lenB++;headB = headB.next;}differ = Math.abs(lenB - lenA);if (lenA < lenB){for (int i = 0; i < differ; i++) {B = B.next; //这里以B和A来作为快慢指针,是因为前面的headA, headB已经移动过位置了,而下面是需要从头开始遍历的}}else {for (int i = 0; i < differ; i++) {A = A.next;}}while (A != null && B != null){if (A == B) return A; //刚好相等时,就是相交点A = A.next;B = B.next;}return null;//否则退出循环,则说明无交点}
