高等数学-第七版-下册 选做记录 习题9-4
2025/11/24 19:31:56
来源:https://blog.csdn.net/naozibuok/article/details/147595092
浏览:
次
关键词:高等数学-第七版-下册 选做记录 习题9-4
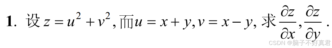
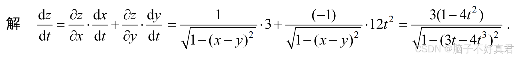
1.
3.
4.
8.
版权声明:
本网仅为发布的内容提供存储空间,不对发表、转载的内容提供任何形式的保证。凡本网注明“来源:XXX网络”的作品,均转载自其它媒体,著作权归作者所有,商业转载请联系作者获得授权,非商业转载请注明出处。
我们尊重并感谢每一位作者,均已注明文章来源和作者。如因作品内容、版权或其它问题,请及时与我们联系,联系邮箱:809451989@qq.com,投稿邮箱:809451989@qq.com
热文排行
- 老外讲解用Delphi 12.3作web
- 华为 海思22AP10(SS524)H.265 编解码处理器用户指南
- 数据库物理结构设计
- 基于重要抽样的主动学习不平衡分类方法ALIS
- 开源模型时代的 AI 开发革命:Dify 技术深度解析
- 《缺失MRI模态下的脑肿瘤分割的潜在相关表示学习》| 文献速递-深度学习肿瘤自动分割
- npm install puppeteer 报错 npm ERR! PUPPETEER_DOWNLOAD_HOST is deprecated解决办法
- 【量化策略】均值回归策略
- 如何在 Mac 上清空硬盘后恢复丢失的数据?
- (2)Django生产环境数据库的切换以及环境配置python-dotenv方案











