题目 (LeetCode)
给你两个单链表的头节点 headA 和 headB ,请你找出并返回两个单链表相交的起始节点。如果两个链表没有交点,返回 null。
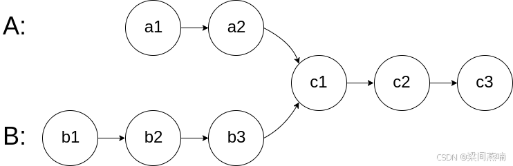
图示两个链表在节点 c1 开始相交:
题目数据保证整个链式结构中不存在环。
注意,函数返回结果后,链表必须保持其原始结构
知识
- 条件表达式语法
• condition:条件判断。x = value_if_true if condition else value_if_false
• value_if_true:如果条件为 True,返回的值。
• value_if_false:如果条件为 False,返回的值。
思路
-
双指针法:
• 定义两个指针 pA 和 pB,分别初始化为链表 headA 和 headB 的头节点。
• 同时移动两个指针:
• 如果 pA 到达链表 A 的尾部,则切换到链表 B 的头节点。
• 如果 pB 到达链表 B 的尾部,则切换到链表 A 的头节点。
• 当两个指针相遇时,指向的节点即为相交节点。
• 如果两个链表不相交,两个指针最终会同时到达 None。 -
关键点:
• 两个指针从头到尾走过的总长度是相同的(链表 A 的长度 + 链表 B 的长度)。
• 因此,如果两个链表相交,它们会在相交点相遇。
• 如果不相交,则两个指针最终都会到达 None。 -
背后的数学证明:为什么一定会相遇?
假设:
• 链表 A 长度为 a + c(a 是非相交部分,c 是相交部分)。
• 链表 B 长度为 b + c(b 是非相交部分,c 是相交部分)。
两指针的移动:
1. pA 先走完链表 A,然后切换到链表 B,走完 b 的部分;
2. pB 先走完链表 B,然后切换到链表 A,走完 a 的部分。
无论是否有相交点,两指针总会同时走完 a + b + c 的路程,在最后同时指向相交点(或 None)。
代码
class ListNode:def __init__(self, val=0, next=None):self.val = valself.next = nextclass Solution:def getIntersectionNode(self, headA: ListNode, headB: ListNode) -> ListNode:if not headA or not headB:return None# 初始化两个指针pA, pB = headA, headB# 遍历两个链表while pA != pB:# 如果 pA 到达链表 A 的尾部,则切换到链表 B 的头节点pA = pA.next if pA else headB# 如果 pB 到达链表 B 的尾部,则切换到链表 A 的头节点pB = pB.next if pB else headA# pA 和 pB 相等时,可能是相交点,也可能是 Nonereturn pA

题目数据保证整个链式结构中不存在环。