7.1 高速串行信号介绍
在传统的系统结构中,为了追求更高的数据吞吐率来满足系统性能,人们通常采用提高工作频率和加宽系统总线的方法,从而使得系统总线从16位、32位到64位成倍扩展,系统工作频率也从33MHz、66MHz、100MHz到400MHz逐级提升。然而,对于单端并行系统总线而言,提升工作频率和系统总线位宽的方法逐渐走入技术极限死区。
工作频率的提升和总线带宽的增加势必带来包括PCB的空间限制、信号噪声、信号完整性和避免信号互相干扰、布线长度、系统时序中的建立和保持时间(Setup&holdtime)的要求及电磁辐射(EMI)等诸多问题。这些问题在单端信号体制中,当时钟频率达到400MHz左右时已经不可控制,而且随着工作频率和总线带宽的增加,带来的功耗问题也逐步凸显出来,系统热设计也越来越难以实现。
与此同时,现代社会发展及各类多媒体技术对带宽的需求迅猛增长,这就促使必须寻找一种全新的技术来代替传统互连结构以适应市场需求。因此,基于差分、源同步和时钟数据恢复(clock and data recovery,CDR)的高速差分串行互连方式应运而生。如今,在板级系统上,难以再看到以16/32/64位并行总线的方式实现器件之间的互连,基本上从板上芯片间到外部系统之间的互连接口都采用高速差分串行互连,如RapidIO、XAUI、USB和HDMI等。高速串行互连是高速系统互连技术发展的一个标志性里程碑,这种技术和传统的并行互连结构相比,具有如下优点。
• 工作频率高,高速串行I/O的线速可超过10Gbps,而并行传输技术远远达不到这个层次。
• 节省设计空间。在实现并行结构的系统互连设计中,将大量数据传入/传出芯片或电路板时所遇到的一个问题是管脚数、电路板设计空间、时间和成本会随着管脚数的增加而急剧增加。与此相比,由于采用高速差分串行形式,串行I/O可节省大量的管脚。
简化电源系统设计,功耗大幅度减少。采用单端并行总线结构时,由于所有信号都在同一个时钟源驱动下一起做状态转换,使得系统中同步切换噪声(SSN,即大量寄存器的值在某一时刻同时翻转而带来的高频波动)问题相当严重,会对本来应该保持相对静止的电源和地平产生一定的影响,严重时甚至影响到器件内部时钟和系统功能的正常工作。而在高速差分信号中,由于将两个信号线之间作为电源参考,信号输出幅度和单端并行总线相比大幅度减小,SSN问题就要小得多。
EMI/EMC 性能优越,对于单端并行信号而言,工作频率时钟越高,电磁辐射的强度越高。而对于高速差分信号而言,极性相反的两个差分信号之间相互耦合,电磁场能量被很好地控制在差分信号之间,因此即使是在GHz的工作频率下,高速串行链路的辐射量比以较低速度工作的单端并行总线要低。因此对于这个系统而言,高速串行差分信号具有更好的EMI指标。
设计成本低,采用高速串行差分技术的互连系统设计中,由于互连信号的数目大量减少,不仅使IC设计减少了芯片封装管脚数目,也节省了PCB板级设计空间,甚至对于低速的串行差分技术所需的供电系统设计也得到简化,因此采用串行差分技术的互连系统设计总成本会明显降低。
应用灵活,高速串行差分互连结构仅仅提供了一种新的物理链路,由于链路中提供了时钟恢复功能,因此系统的应用不受信号线的限制,用户可以基于这个物理链路实现不同的通信协议,满足不同的用户需求。
正是由于这些不可比拟的优越性,高速串行接口越来越广泛应用于各种系统设计中,包括PC、消费电子、海量存储器、服务器、通信网络、工业计算和控制和测试设备等。迄今业界已经发展出了多种串行系统接口标准,例如万兆位以太网、PCI-Express、SATA、XAUI、HDMI、DVI和USB等,甚至在DDR2和DDR3这样以并行结构为基础的总线协议中,也对关键信号采用了串行模式。
作为电子工程师,必须紧跟各种先进技术的发展,并积极在实际工作中掌握和使用这些新技术。因此,本章中将讨论关于高速差分信号完整性分析、设计及调试等问题。由于高速差分信号的设计有它的特性,在做仿真设计时又受到很多技术及非技术条件的限制,使得很多工程师在工作中难以实现对高速串行设计的真正工作。并且,随着工艺和技术的发展,以及在现实需求的驱动下,差分信号还在继续向更高的工作频率发展,这样给系统设计者带来的不仅是更严峻的设计挑战,如果设计不成功或者要对现有的设计进行优化改进,就不能不继续接受对系统设计后的问题进行调试、定位分析及性能评估等工作。
由于在高速差分系统中,信号的传输机制和并行总线结构相比有本质的不同,因此,仿真分析方法和系统调试方法都有根本的区别,这也是为什么要对高速差分信号设计分析单设一章,作为一个单独的专题进行讲解的原因。也正是由于高速差分信号设计分析方法本身的特殊性,以及在应用中各种条件的限制,使得本章的写作成为本书中最艰难的一部分。一方面作者不想把这部分内容写得泛泛无味,缺乏实际指导意义和可操作性,但如果要做得面对DDR设计分析那样精确翔实,又受到很多条件的限制。
在综合考虑各种因素,权衡限制条件的情况下,作者将本章内容分为三个部分,期望能够通过这样的编排,使读者真正领会高速差分信号的仿真分析设计方法,将本书所表述的内容应用到实际工作中。
• 在第一部分,主要针对目前普遍使用的3.125 Gbps 以下高速差分信号的仿真,作者以一个高速设计实例做说明,从实用操作的角度出发向读者展示如何应对实际工作中所遇到的各种现实条件限制,结合自身的工作环境和要求,完成高速串行信号的仿真。
• 第二部分,介绍即将到来的6Gbps,甚至12Gbps的高速差分信号的系统设计挑战。面临这些技术挑战,如何在缺乏仿真条件的限制下,基于设计者本身的知识,最大可能地发挥设计者的技能确保系统设计的安全性和可靠性。
• 第三部分,由于高速差分信号的系统设计要求非常苛刻,那么不可避免地在设计上会出现反复,而高速差分系统设计中的问题调试、定位分析,或者系统优化的性能评估等工作和传统的并行总线系统结构存在重大差别,因此在这部分中,作者介绍专门用于高速差分系统性能分析的参数——Jitter。相对于全书关于实用指导这个写作意图而言,这部分内容只是一个概括性的介绍,具体的Jitter分析技术,以及高速差分系统调试分析技术也是一个非常庞大而实用的主题,希望读者能基于对这部分内容的阅读,对高速差分系统的调试分析工作建立一个基本的概念。
7.2 Cadence 中高速串行信号仿真分析流程和方法
在使用实际的设计实例对高速串行信号进行仿真分析之前,我们有必要先来了解一下Cadence系统中所提供的高速串行信号仿真分析的流程和方法。
在Cadence系统中,针对不同的设计阶段和仿真条件限制,高速串行信号仿真分析流程包括以下五个步骤。
• 系统级设计;
• 功能模块级互连设计;
• 系统互连设计;
• 通道分析和预加重设计;
• 时域验证分析。
在这个流程中,通用的做法是以频域仿真分析(FDA)为基本方法,以时域仿真分析(TDA)为辅助验证手段。下面我们详细讲解各设计阶段的任务和设计方法。
7.2.1 系统级设计
在系统级设计阶段,其设计任务是在SigXP中规划整个系统信号的路径,描述完整的信号通路,但不需要涉及具体实现细节。比如,在如图7-1所示的一个差分信号通路中,只需要从模块级描述信道的组成,包括承载收发器的两个PCB封装模型,以及背板的封装模型的描述,并不需要过孔和接插件的细节描述。
BI工程师对驱动器的驱动性能和接收器接收指标要求进行建模,按照系统实现的要求,定义出这个结构中总的信道损耗(dB单位)和抖动参数(ps单位),通过这个系统级的规划,把损耗和抖动的预算分配到系统信道组成的各个模块中,然后在接下来的步骤中,对组成系统模块的各个组成部分进行进一步的细化和分析。
事实上,设计者不一定能够获得确切的驱动器和接收器的仿真模型,因为一般对于高速差分串行信号目前还是作为各个厂商核心竞争力的知识产权进行保护,尤其是对于6.25Gbps以上的器件模型。有些厂家可以通过加密的SPICE方式提供给用户,但这又要求用户具有相应的SPICE仿真器,才能使用这些模型。所以,对于系统级设计而言,更多的时候,用户是从器件的数据手册上获得关于损耗和抖动的参数要求,或者从参考设计中得到相关信息。也就是说,对于一个要求不高的设计,SI工程师不一定非要获得器件的仿真模型才能够进行高速差分信号的设计分析。但是,要想获得比较准确的仿真结果,或者在一个设计余量非常有限的系统中进行设计,那么就一定要从厂商那里获得准确的仿真模型,没有其他的办法。
7.2.2 互连设计和S参数
由于功能模块级互连设计和系统级互连设计这两个阶段的设计任务大致相同,并且在实际工作中也是紧密联系在一起的,所以没有必要像Cadence推荐的那样清晰地分成两个阶段,通常这两个阶段的设计任务可以在一起进行。在这个阶段中,由于系统级的设计已经定义出了每个功能模块的损耗和抖动预算,那么各个功能模块内部及模块之间的互连要求应该按照这个预算要求进行参数设计,这个阶段的设计任务和传统的PCB参数设计几乎是一样的。SI工程师需要根据上一个阶段提供的损耗预算,确定在当前模块中与PCB相关的物理和几何参数,以保证在这样的参数控制下所设计出的PCB能够满足频域分析损耗的预算要求,本阶段的设计任务主要包括如下内容。
• 各功能模块所用的PCB材料和叠层参数确定;
• 各功能模块及系统互连的布线参数确定,包括线宽、线间距、差分线阻抗和差分线参数控制等;
• 信道中所有过孔的参数确定;
• 作为仿真对象的高速差分信号的拓扑结构定义。
在这个阶段,需要使用频域分析技术,通过对信道的频域特征进行分析,从而确定各个PCB的具体设计参数。为了能够理解和掌握频域分析技术的使用,我们需要先明确一下为什么要引入频域分析,以及如何在SigXP中使用频域分析技术。
大家都知道,信号在时域的表现是某个时刻点上该信号中所有频率分量的叠加而形成的综合结果。因此,在时域上观察信号,很难分辨那些与频率直接相关的信道参数,比如趋肤效应、介质损耗、色散及谐振等损耗,并且随着信号工作频率的升高,这些现象在时域的叠加现象更加难以分辨识别。而对于一个线性网络而言,在频域观察这些参数特征就一目了然了,并且能够非常准确地在频域对多个参数进行分离。
目前,对于互连网络的频域分析技术就是S参数,正如本书中第4章所介绍的,在SigXP中S参数的使用方法很简单,选择生成S参数的对象,定义好端口,然后单击几个按钮就可以得到关于所指定网络的S参数。但是,反过来看,如果我们得到一个用S参数进行描述的网络,那么从S参数中我们能够得到哪些信息?这是我们更应该思考的问题。
首先,最直观的,我们能够从S21参数得到信道随频率的衰减系数,因此从S21参数曲线可以预知在某个频段内的信号强度的衰减程度。
其次,从S11参数中我们可以获得关于反射的信息,包括传输线长度(时延)和传输线阻抗(反射强度),得到这两个参数之后,按照第2章所介绍的传输线阻抗公式,就能够得出关于传输线的其他物理和几何参数。为了说明这个问题,我们还是使用一个具体的例子进行讲解。此仿真实例位于“C:\Cadence\test_SParameter_Simple.top”路径。
为了方便向读者清晰地介绍S参数的解读方法,这个实例设计得非常简单,拓扑结构如图7-2所示。读者打开这个TOP文件后,不用去关心Driver和Receiver的信息,这个对于分析信道的S参数没有任何影响。我们要关心的是如何从微带线MS1的S参数中解读此传输线的其他信息。在这个TOP文件中,作者已经预先对MS1的物理参数进行了更改,以便向读者讲明原理。在MS1的参数中,通过修改MS1的线宽Tracewidth参数为2.73mil(其他参数未动),使得MS1的阻抗变为74.949Ω,而不是通常默认的50Ω左右。这样做是为了将来做比较分析。
现在,我们开始对MS1做S参数生成分析。选择菜单中的“Analyze→S-Parameter Generation”命令,系统弹出关于S参数分析的参数设置窗口,如图7-3所示。在这个界面中,参数都比较理解,有一个需要读者注意的是,S参数可以针对任何对象生成,因此需要读者明确指定拓扑结构中的哪些元素可以包含在生成的S参数中,即需要指定S参数的端口位置。就本实例而言,就是MS1这个传输线的两端口连接网络的S参数,那么按照图7-4中所显示的位置来指定网络中的S参数端口,也就是除了驱动器和接收器之外所有的拓扑连接元素。指定好S参数的端口之后,在图7-3的界面中的“Model”文本框中输入生成S参数模型的名称,例如我们输入“Testsimple”,然后单击“Generate”按钮,这时SigXP就会弹出S参数的生成报告,并自动调出SigWave显示当前这个S参数的频响曲线,如图7-5所示。

图7-5 是系统仿真后自动启动SigWave显示的S参数频响曲线,按照我们对S参数的定义,一共有四条曲线,因为这个网络是对称的(从Port1到Port2和从Port2到Port1的频率特征是一样的),所以四条曲线中对称的参数会重合在一起,在图7-5中只能看到两条曲线。为了便于观察和测量,我们通过对图7-5加以放大,并将原来Y轴的dB测量单位转换成幅度单位,再加两个标尺来测量数据,如图7-6所示。
在图7-6中上部的是S21参数,信道插入损耗曲线;下面的曲线是S11参数,反射损耗曲线。对于插入损耗S21参数,其意义很明显,不需太多解释。我们主要想解读反射损耗曲线S11所代表的含义。在图中对S11加了两个标尺,一个是幅度标尺,读数为370.752mV,另外一个是峰值频率点间隔731.192MHz(读者需要改换标尺量度,否则SigWave中默认的幅度单位是dB,而不是幅度绝对值)。
对S11参数的解读要从它的测量原理开始,如图7-7所示,就是图7-4中对MS1进行S参数分析的等效电路。
当信号源从A点打入正弦波信号后,由于传输介质的改变,那么信号在A点和B点都会发生反射。只是A点的反射信号会被信号源吸收,而B点的反射波形会沿着信号通路PCB Trace,也即MS1反射回来,并在A点和入射信号进行叠加。
这就是所谓的微波传输中的驻波形成过程,如图7-8所示。
在图7-8中,当传输介质MS1的长度,也就是信号传输延迟,使得反射信号和入射信号在叠加时正好反相时,两个信号完全抵消,使得叠加后的信号为零,如图中上图所示;而如果MS1的传输延迟使得反射信号和入射信号同相,那么叠加后的信号就会加强,如图中下图所示。图7-8中显示的是两种极端情况,反射信号和入射信号完全反相或者同相。但在其他频率的大部分信号而言,在一定的传输延迟下,反射信号和入射信号始终保持一定的相位差,那么合成的信号就是通常意义上的驻波。驻波中同相信号叠加而成的最大信号幅度Vmax,就是波峰;反相信号叠加之后的最小信号幅度Vmin,就是波谷。叠加波形中其他位置点信号幅度都介于波峰和波谷之间。波峰和波谷的比值,称为驻波比VSWR,即Voltage Standing Wave Ratio。
这样,我们明确了一个事实:在如图7-6的S11曲线中,相邻的两个峰值之间的频率差,正好等于MS1传输延迟所对应的频率。
Δf=1/2·TD
实际上,S11参数所测得的反射是发生在A点的情况,因此有如下公式:
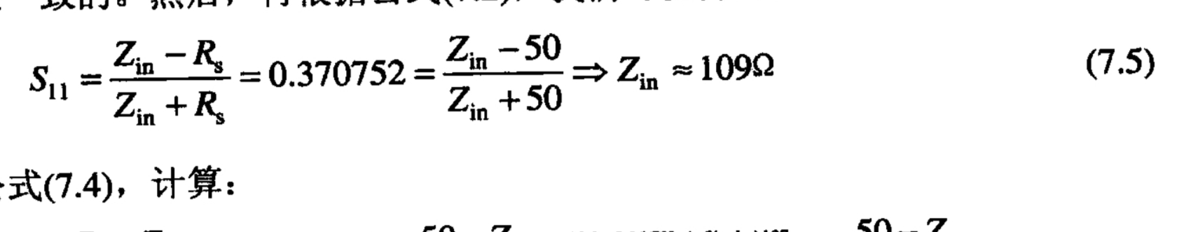
S11=(Zin-Z0)(Zin+Z0)
公式中的Zin是S参数的等效电路中A点的输入阻抗,如果在终端匹配的情况下,没有反射发生,也就没有驻波,此时Zin=Z0,而在终端不匹配时,Zin就是入射阻抗,它的计算公式为:
Zin=Z0·(1+γ(A))/(1-γ(A))=Z0·(1+γ(A))/(1-γ(A))
其中γ(A)为复反射系数在A点的值:

理解了上述公式及其含义之后,我们就可以从S参数的仿真结果中解读其物理意义。
首先,在公式(7.1)中,我们计算传输线MS1的传输延迟,根据公式(7.1)和图7-6的S参数测量结果可知:
这是传输线MS1总的传输延迟,根据单位传播延迟和传播速度的关系,我们可以得出如下公式:
由此,我们得出介电常数为4.2,这个和我们在SigXP中对MS1所设置的参数几乎是一致的。然后,再根据公式(7.2),我们可以得出:
由公式(7.4),计算:
把公式(7.6)和(7.5)代入到(7.3)中,得到:
至此,通过对S参数的解读,我们已经由S11参数计算出了传输线MS1的传输延迟、介电常数,以及特征阻抗等参数。如果读者有兴趣,还可以从其他的S参数中获得更多的信息,比如解读S21参数的相位曲线,可以看出相位随频率变化的特性。读者还可以通过调整当前实例中MS1的参数,比如把线宽Tracewidth参数改成7mil,使得MS1的特征阻抗靠近50Ω,在这种情况下,测量S参数的等效模型电路中,所有的传输介质阻抗都接近50Ω,在信号通路的任何一点上几乎没有反射发生,读者这时候再做一次S参数的生成,观察SigWave中S参数的变化趋势。多做练习,比较不同情况下的结果,并分析产生各种不同结果的原因,是我们学习的捷径之一。
这里,我们为了说明S参数的意义,用一个很简单的实例来说明如何解读S参数中包含的信息。而对于差分传输线的S参数,可以按照类似的方法解读,但是由于S参数的复杂度会随着端口的数量成平方级数增长,因此对差分传输线的4端口S参数解读会更加复杂一些。读者可以根据网上下载的例子进行学习和理解。
对网上下载的资料解压后,差分结构的S参数仿真实例为“C\Autorial\Test_SParameter.top”文件,在SigXP中打开这个TOP文件可以看到如图7-9所示的电路结构。
打开这个TOP文件后,对这个电路中的互连结构进行S参数分析,步骤和使用方法都和上面讲的完全一致。指定好S参数的端口之后,在图7-3的界面中的“Model”文本框中输入生成S参数模型的名称,例如,我们输入“Test”,然后单击“Generate”按钮,SigXP就会弹出S参数的生成报告,并自动调出SigWave显示当前这个S参数的频响曲线,如图7-10所示。
在图7-10的S参数频响曲线中,为了方便读者阅读,只显示了4条曲线波形,S1_1,S2_1,S3_1和S4_1,读者要清楚,我们在拓扑结构中设置的是4个端口的S参数,因此在S参数的频响曲线中,应该有16条曲线,又由于这4个S参数是对称结构,所以其他曲线和图中显示的4条曲线基本一致,因此在这里就只显示这4条具有代表性的频响曲线。
如果SI工程师还想在其他场合使用这个生成的4端口S参数模型,那么可以在当前仿真目录中寻找文件名为“Test.s4p”的文件。实际上这个就是S参数的仿真模型文件,可以在其他的仿真中直接使用。打开这个模型文件,如图7-11所示,其文件结构很简单,前几行是文件描述,也就是这个S参数器件的描述,读者可以看到,文件中所描述的器件端口正是我们在SigXP图形界面中所设定的4个端口。文件中其他部分内容被分成很多数据块,一共有2048个频率点(数据块),频率范围是从0GHz50GHz,每个数据块对应一个频率点下的S参数44的矩阵描述。
获得通道的S参数不是目的,正如前面所讲,频域下的S参数分析只是手段。通过对当前信道的S参数解读,我们最关心的参数是S2_1,对应于端口DINP2_2和DOUTP2_2,这个是信道的衰减曲线,如果在整个系统规划中,这个参数不满足要求,那么我们就需要对当前信道进行调整,也就是对当前设计环节下的PCB物理和几何参数进行调整,然后再次做S参数的频域分析,向系统级分配的损耗预算结果靠近。如果通过SI工程师的努力,在这个设计阶段没有达到原来的预算要求,那么需要回到系统级设计中,要求系统级设计重新分配损耗和抖动预算。
7.2.3 通道分析和预加重设计
通过频域分析方法,对系统中的各个模块的物理设计参数进行确定,在满足系统的损耗和抖动预算之后,下面我们将采用时域分析方法,对信道在时域的统计特性进行分析,以确认该通道的设计,配合相应的驱动器和接收器满足系统性能需求。
在SigXP中打开所要分析的电路TOP文件,设置好相应的模型和激励之后,选择菜单中的“Analyze→Channel Analysis”命令,将出现如图7-12所示的通道分析界面。
通道分析的参数设置界面有两个界面,在图7-12中所显示的是基本参数设置。在这个参数设置界面中的大部分内容对SI工程师来说,都是一些作为差分串行仿真分析的基本参数设置,不需要太多的解释。这里,作者要强调一下对于预加重的参数设置“#of Taps”。设计过高速差分信号的读者应该都知道预加重这个概念,但是未必了解这里的Taps数值和预加重之间的关系。由于Cadence帮助系统中也没有对于这个参数的详细说明,因此为使读者能够更好地理解预加重的含义,掌握软件的使用方法,在这里我们结合条件中Taps的含义,一起学习一下高速差分信号中的预加重技术。
所有传输介质普遍存在的一个问题是由频率引起的损耗,特别是趋肤效应和电介质损耗导致的印制电路板(PCB)设计损耗。当数据率较高时,各层中的铜线都会产生趋肤效应,高频信号“掠过”导体的表面,减少了有效传导区域,增加了信号衰减,并且这种损耗随着信号频率的升高而加剧,从而降低了远端信号的接收能力,缩短了信号的传播长度。然而信号中高频分量的损耗和衰减不仅来自于趋肤效应,由PCB叠层结构中板间材料的电容效应引起的介电损耗也是一个重要原因。
从本书前几章对传输介质的分析可知,介电损耗和信号的频率成正比,而趋肤效应引起的损耗和信号频率的平方根成正比,由此看来,介电损耗效应要大于趋肤效应引起的损耗。不仅如此,信号中高频分量的衰减,还会带来信号在时域的扭斜和抖动,因此控制信号中的高频分量的衰减是保证高速差分信号传输质量必须要解决的问题。
解决这个问题的最直接想法就是使用低介电常数的PCB板材和趋肤效应小的传输介质,然后这样做的直接后果就是系统成本非常昂贵,以至于超出市场的接受能力,所以这种解决方案理论上是可行的,但是实际中不可操作(至少目前是不可行的,也许随着差分信号速率的提高,当传统PCB板材不堪重负的时候,业界才会考虑采用更新的板材)。既然不能改变传输介质的特性,那么只能从信号本身入手考虑问题。既然我们知道了信号中高频分量的衰减程度大,那么能够通过在发送端加强信号中高频分量的能量,以补偿信号在传输过程中的损失,参照如图7-13所示的预加重信号波形图。
所谓信号中的高频分量,出现在信号频繁发生翻转的过程中,如果信号长时间没有变化,信号中出现长1或长0串时,信号中的低频直流分量就会增加。因此,通过提高信号中出现状态转换位置的信号电平,可以增加高频分量的强度。也就是适当增强信号中每次出现0和1信号转换位置的第一个信号电平,如图7-13所示的箭头位置。
预加重的原理清楚了,那么到底应该增加多少电平强度呢?这个要根据信道的特性进行调整。为了适应不同的传输信道特性要求,一般情况下,IC设计厂商提供几种预加重强度选项。在实际信号中,为了量化控制预加重强度,我们需要定义一些参数来衡量预加重强度。在图7-14中,我们定义了两个参数,(Ve)为“加重”后信号电平幅度,(Vo)为正常输出的信号电平幅度。
参照上图,预加重的强度被定义为(-20log(Ve/Vo)),按照不同的预加重程度,Taps被定义为预加重级别,预加重级别和预加重强度之间有如下对应关系,如表7-1所示。
了解了预加重的原理之后,我们就可以在信道仿真中选择合适的预加重级别。通常IC的设计商会在驱动仿真模型中加入自己的预加重设置,这个时候,在如图7-12所示的Cadence通道分析参数设置界面中要把仿真的预加重强度#of Taps设置成From Model,让器件模型中的设置来决定预加重强度。如果器件模型中没有预加重的功能,那么SI工程师应该根据当前通道分析的仿真结果来选择不同的#of Taps值,设置合适的预加重强度。在很多中文译本的技术文章中,有人根据反馈存储器的原理把Taps形式化地翻译成“抽头”。虽然这是Taps的最初含义,但是作者认为这样的翻译并不合适,它没有表达Taps相对于输出信号的技术含义,所以建议读者使用“加重级别”这个概念,以便于理解和交流。
在通道分析阶段,通常要调整预加重的参数,使得接收端的眼图参数能够满足基本的要求,比如眼高和眼宽等。此时,可以根据仿真的结果来定义高速差分信号的设计的约束规则。在布线设计完成之后,进入高速差分信号设计的最后一个流程:完整的时域仿真分析。
7.2.4 时域分析和验证
实际上,这个设计环节相当于高速差分信号设计流程的后仿真阶段。当所有子系统、模块的参数设计完成之后,并且获得了准确的差分信号驱动器的仿真模型,这时就需要将各个子系统、模块甚至连接器、电缆等组成一个完整的高速差分信号通路,对高速差分信号特征进行完整的时域仿真验证。
在这个阶段中,信号通道的参数完全可以从PCB设计文件中提取出来,代替前面几个阶段中所使用的模型,并且使用IC厂商提供的驱动器模型,对高速差分信号中包含的所有性能进行评估验证,包括眼图测量、抖动分析、误码率及浴盆曲线等。当所有的设计指标都达到设计要求之后,才有足够的信心保证系统稳定工作。
以上介绍的是Cadence高速差分信号的设计流程和方法。在实际工作中,读者可以根据自己的现实条件,在充分理解仿真工具的作用和原理的基础上,有选择地对Cadence系统所提供的功能进行灵活运用,以满足复杂系统的时间设计要求和性能设计要求。
在下面的一节中,我们将用一个实际的高速差分信号仿真实例来具体说明如何使用Cadence的高速差分信号设计工具。
