1 题目:二叉树的最大深度
官方标定难度:易
给定一个二叉树 root ,返回其最大深度。
二叉树的 最大深度 是指从根节点到最远叶子节点的最长路径上的节点数。
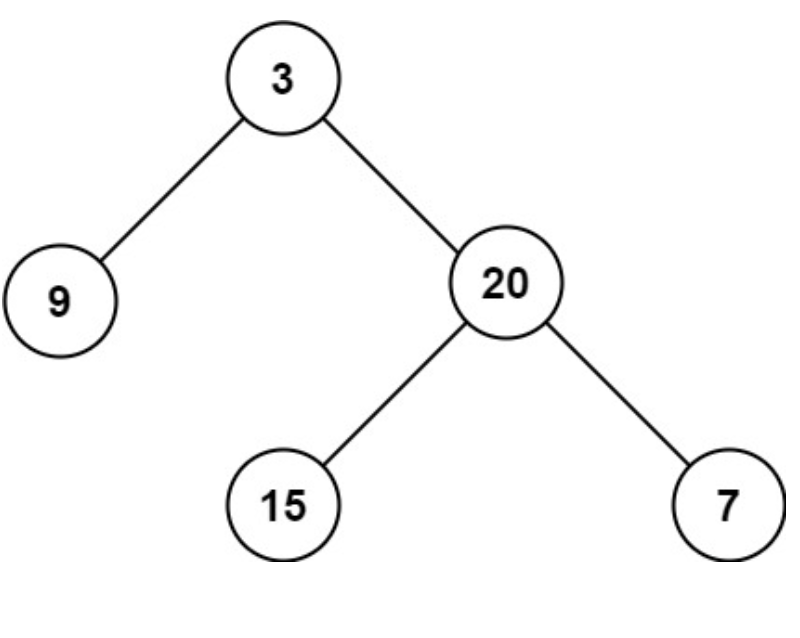
示例 1:

输入:root = [3,9,20,null,null,15,7]
输出:3
示例 2:
输入:root = [1,null,2]
输出:2
提示:
树中节点的数量在 [0, 1 0 4 10^4 104] 区间内。
-100 <= Node.val <= 100
2 solution
本题用递归很简单,h(root) = max(h(left), h(right)) + 1;
代码
/*** Definition for a binary tree node.* struct TreeNode {* int val;* TreeNode *left;* TreeNode *right;* TreeNode() : val(0), left(nullptr), right(nullptr) {}* TreeNode(int x) : val(x), left(nullptr), right(nullptr) {}* TreeNode(int x, TreeNode *left, TreeNode *right) : val(x), left(left), right(right) {}* };*/
class Solution {
public:
int maxDepth(TreeNode *root) { if(!root) return 0;return max(maxDepth(root->left), maxDepth(root->right)) + 1;
}
};
结果

