二叉搜索树的最近公共祖先
题目链接:235. 二叉搜索树的最近公共祖先 - 力扣(LeetCode)
题目描述:
给定一个二叉搜索树, 找到该树中两个指定节点的最近公共祖先。
百度百科中最近公共祖先的定义为:“对于有根树 T 的两个结点 p、q,最近公共祖先表示为一个结点 x,满足 x 是 p、q 的祖先且 x 的深度尽可能大(一个节点也可以是它自己的祖先)。”
例如,给定如下二叉搜索树: root = [6,2,8,0,4,7,9,null,null,3,5]

示例 1:
输入: root = [6,2,8,0,4,7,9,null,null,3,5], p = 2, q = 8 输出: 6 解释: 节点2和节点8的最近公共祖先是6。
示例 2:
输入: root = [6,2,8,0,4,7,9,null,null,3,5], p = 2, q = 4 输出: 2 解释: 节点2和节点4的最近公共祖先是2, 因为根据定义最近公共祖先节点可以为节点本身。
题解:
/*** Definition for a binary tree node.* struct TreeNode {* int val;* TreeNode *left;* TreeNode *right;* TreeNode(int x) : val(x), left(NULL), right(NULL) {}* };*/class Solution {
private:TreeNode* traversal(TreeNode*cur, TreeNode* p, TreeNode* q){//遇到空直接返回,结束条件if(cur == NULL) return cur;//使用前序遍历,但我们不需要处理中节点逻辑,所以跳过中逻辑,直接实现左右节点逻辑if(cur->val > q->val && cur->val > p->val){TreeNode* left = traversal(cur->left, p, q);//搜索一条边的逻辑if(left != NULL){return left;}}if(cur->val < q->val && cur->val < p->val){TreeNode* right = traversal(cur->right, p, q);if(right != NULL){return right;}}//其他情况就是cur->val在q,p的区间内,此时cur就是q,p的最近公共祖先,因此直接返回return cur;}
public:TreeNode* lowestCommonAncestor(TreeNode* root, TreeNode* p, TreeNode* q) {return traversal(root, p, q);}
};
总结与思考:
- 解决此题我们需要利用二叉搜索树的性质,需要明白一个既定事实:当我们从上向下去递归遍历,第一次遇到 cur节点是数值在[q, p]区间中,那么cur就是 q和p的最近公共祖先。而关于递归遍历顺序,因为此题不涉及到“中”逻辑的处理,因此使用什么递归遍历顺序都无所谓,所以我们默认使用前序遍历的顺序来做题解
- 递归的三要素:
- 递归函数的参数和返回值:需要记录当前节点和目标q,p,所以参数为cur,q,p返回值是要返回最近公共祖先,所以类型为TreeNode*
- 递归函数的结束条件:遇到空就直接返回,此题提示说明一定有结果,所以这里的递归结束条件可以省略
- 递归函数的单层递归逻辑:因为不清楚q,p谁大谁小,因此在利用二叉搜索树性质向左或向右递归时,cur->val的值需要与q->val,p->都要比较。这里只需要写单独搜索一条边的实现逻辑,不需要递归整个树的所有分支。两个if递归处理了所有不符合的情况,因此剩下的情况均为找到了最近公共祖先的情况,直接返回cur即可
二叉搜索树中的插入操作
题目链接:701. 二叉搜索树中的插入操作 - 力扣(LeetCode)
题目描述:
给定二叉搜索树(BST)的根节点 root 和要插入树中的值 value ,将值插入二叉搜索树。 返回插入后二叉搜索树的根节点。 输入数据 保证 ,新值和原始二叉搜索树中的任意节点值都不同。
注意,可能存在多种有效的插入方式,只要树在插入后仍保持为二叉搜索树即可。 你可以返回 任意有效的结果 。
示例 1:

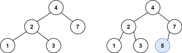
输入:root = [4,2,7,1,3], val = 5 输出:[4,2,7,1,3,5] 解释:另一个满足题目要求可以通过的树是:

示例 2:
输入:root = [40,20,60,10,30,50,70], val = 25 输出:[40,20,60,10,30,50,70,null,null,25]
示例 3:
输入:root = [4,2,7,1,3,null,null,null,null,null,null], val = 5 输出:[4,2,7,1,3,5]
题解:
/*** Definition for a binary tree node.* struct TreeNode {* int val;* TreeNode *left;* TreeNode *right;* TreeNode() : val(0), left(nullptr), right(nullptr) {}* TreeNode(int x) : val(x), left(nullptr), right(nullptr) {}* TreeNode(int x, TreeNode *left, TreeNode *right) : val(x), left(left), right(right) {}* };*/
class Solution {
public:TreeNode* insertIntoBST(TreeNode* root, int val) {//寻找插入节点的位置,再把添加的节点返回上一层,完成父子节点的赋值if(root == nullptr){TreeNode* node = new TreeNode(val);return node;}//递归插入逻辑if(root->val > val) root->left = insertIntoBST(root->left, val);if(root->val < val) root->right = insertIntoBST(root->right, val);return root;}
};
总结与思考:
- 解决此题并不需要改变二叉搜索树的结构,只需要遍历二叉树后,将元素插入到合适的空节点处就可以了,我们使用递归法来解决此题
- 递归三要素:
- 递归函数的参数和返回类型:根节点指针与要插入的具体元素值。我们这里选择需要返回值,因为有返回值可以方便完成新插入的元素与其父节点的赋值操作
- 递归函数的结束条件:当我们遍历到空节点处时,就找到了该元素该插入的位置
- 递归函数的单层递归逻辑:因为前提是二叉搜索树,因此我们不需要遍历整棵树,可以根据插入元素的数值来决定递归的方向
删除二叉搜索树中的节点
题目链接:450. 删除二叉搜索树中的节点 - 力扣(LeetCode)
题目描述:
给定一个二叉搜索树的根节点 root 和一个值 key,删除二叉搜索树中的 key 对应的节点,并保证二叉搜索树的性质不变。返回二叉搜索树(有可能被更新)的根节点的引用。
一般来说,删除节点可分为两个步骤:
- 首先找到需要删除的节点;
- 如果找到了,删除它。
示例 1:

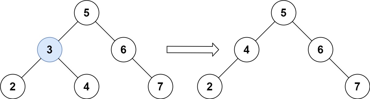
输入:root = [5,3,6,2,4,null,7], key = 3 输出:[5,4,6,2,null,null,7] 解释:给定需要删除的节点值是 3,所以我们首先找到 3 这个节点,然后删除它。 一个正确的答案是 [5,4,6,2,null,null,7], 如下图所示。 另一个正确答案是 [5,2,6,null,4,null,7]。

示例 2:
输入: root = [5,3,6,2,4,null,7], key = 0 输出: [5,3,6,2,4,null,7] 解释: 二叉树不包含值为 0 的节点
示例 3:
输入: root = [], key = 0 输出: []
题解:
/*** Definition for a binary tree node.* struct TreeNode {* int val;* TreeNode *left;* TreeNode *right;* TreeNode() : val(0), left(nullptr), right(nullptr) {}* TreeNode(int x) : val(x), left(nullptr), right(nullptr) {}* TreeNode(int x, TreeNode *left, TreeNode *right) : val(x), left(left), right(right) {}* };*/
class Solution {
public:TreeNode* deleteNode(TreeNode* root, int key) {//第一种情况:没找到删除节点,遍历到空节点返回if(root == nullptr) return root;if(root->val == key){//第二种情况:左右孩子节点都为空,直接删除节点,返回NULL为根节点if(root->left == nullptr && root->right == nullptr){delete root;return nullptr;}//第三种情况:左孩子为空,右孩子不为空,则删除节点后,右孩子补位,返回右孩子为根节点else if(root->left == nullptr && root->right != nullptr){auto retNode = root->right;delete root;return retNode;}//第四种情况:左孩子不为空,右孩子为空,则删除节点后,左孩子补位,返回左孩子为根节点else if(root->left != nullptr && root->right == nullptr){auto retNode = root->left;delete root;return retNode;}//第五种情况:左右孩子都不为空,则删除节点后,将左子树嫁接到右子树最左边节点的左孩子位置处//并且返回删除节点的右孩子作为根节点else{//先寻找右子树最左边节点的左孩子位置TreeNode* cur = root->right;while(cur->left != nullptr){cur = cur->left;}//将左孩子嫁接到右子树最左边节点的左孩子位置cur->left = root->left;//保存一下root节点TreeNode* temp = root;//将右孩子更新为新的根节点root = root->right;delete temp;return root;}}//根据二叉搜索树的性质递归if(root->val > key) root->left = deleteNode(root->left, key);if(root->val < key) root->right = deleteNode(root->right, key);return root;}
};
总结与思考:
- 我们使用递归法来解决删除二叉搜索树的节点这道题,因为涉及到改变树的结构,因此需要考虑在删除目标节点后,返回的根节点的情况有哪些,因此需要考虑目标节点的左右孩子状态和一些特殊情况思考
- 递归三要素:
- 递归函数的参数和返回值:给出二叉搜索树的根节点和需要删除的目标节点值key,我们可以通过递归返回值删除节点。
- 递归函数的结束条件:遇到空返回,其实这也说明没找到删除的节点,遍历到空节点直接返回了
- 递归函数的单层递归逻辑:我们需要清晰所有二叉搜索树中删除节点遇到的情况,分五种情况,具体实现在代码中有详细注释。
- 这里总结的五种情况为:
- 没有找到删除的节点,遍历到空节点后直接返回了
- 找到了删除的节点时,删除节点的左右孩子都为空,则删除目标节点后以NULL为根节点返回
- 找到了删除的节点时,删除节点的左孩子为空,右孩子不为空,则删除目标节点后,右孩子补位作为新的根节点返回
- 找到了删除的节点时,删除节点的左孩子不为空,右孩子为空,则删除目标节点后,左孩子补位作为新的根节点返回
- 找到了删除的节点时,删除节点的左右孩子均不为空,则删除目标节点后,需要将删除节点的左孩子放置到右孩子最左边节点位置的左孩子处,并且将删除节点的右孩子作为新的根节点返回
